NTA UGC NET/JRF Exam, Dec. 2020/June 2021 (Commerce) Shift-I

Total Questions: 100

31. Logically sequence the following steps in the managerial decision-making process

A. Determining the objective
B. Selecting the best solution
C. Implementing the decision
D. Defining the problem
E. Identifying possible solutions
Choose the correct answer from the options given below :

Correct Answer: (d) D, A, E, B, C
Solution:Following are the logically sequence of managerial decision-making process :
■ Defining the problem
■ Determining the objective
■ Identifying possible solutions
■ Selecting the best solution
■ Implementing the decision

32. The characteristics of different levels of leaders are given below. Arrange these in increasing order of levels

A. He contributes to the achievement of group objectives and works effectively with others in a group
B. He builds enduring greatness through a paradoxical combination of professional will and personal humility
C. He makes a productive contribution through talent, knowledge, skills, and good work habits
D. He catalyses commitment to and vigorous pursuit of a clear and compelling vision and stimulates the group to high-performance standards
E. He organises people and resources towards the effective and efficient pursuit of predetermined objectives
Choose the correct answer from the options given below :

Correct Answer: (c) C, A, E, D, B
Solution:

The characteristics of different levels of leadership are in increasing order :
■ He makes a productive contribution through talent, knowledge, skills, and good work habits.
■ He organises people and resources towards the effective and efficient pursuit of predetermined objectives.
■ He catalyses commitment to and vigorous pursuit of a clear and compelling vision and stimulates the group to high performance standards.
■ He builds enduring greatness through a paradoxical combination of professional will and personal humility.

Key points :
• The concept of level 5 leadership was created by business consultant Jim Collins. He wrote about it in a well-respected 2001 Harvard Business Review article, and published his research in his popular book “Good to Great”.
■ Level 1  Highly capable Individual
■ Level 2  Contributing Team Member
■ Level 3  Competent Manager
■ Level 4  Effective Leader
■ Level 5  Level 5 Executive

33. Which of the following statements are TRUE in a contractual capacity?

A. Law presumes that every person is competent to contract unless otherwise proved
B. That a minor can make a contract for necessities of life
C. That a person of unsound mind can enter into a valid contract
D. A convict cannot enter into a valid contract nor can sue
E. That a wife can always make valid business contracts and bind her husband
Choose the correct answer from the options given below :

Correct Answer: (c) B and D only
Solution:

The following statements are true in a contractual capacity :
■ That a minor can make a contract for necessities of life
■ A convict cannot enter into a valid contract nor can sue

Note : According to section 11 of Indian contract act 1872, “Every person is competent to contract who is of the age of majority according to the law to which he is subjected and who is of sound mind and is not disqualified from contracting by any law to which he is subjected.”

34. Which of the following is NOT the feature of the Indian capital market?

Correct Answer: (a) Co-promotes state-level venture funds
Solution:

Key points :
■ Capital market is a crucial link between saving and investment process.
■ Capital market provides funds for long and medium term.
■ It makes use of different intermediaries such as brokers, underwriters, depositories etc.
■ These markets functions within the framework of government rules and regulations, stock exchange, regulated by SEBI.

35. Match List-I with List-II

List-IList-II
A. Section 10 (1)I. Amount received involuntary retirement
B. Section 10 (10 C)II. Agricultural Income
C. Section 10 (13A)III. Leave Encashment
D. Section 10 (10 AA)IV. House Rent Allowance

Choose the correct answer from the options given below :

ABCD
(a)IIIIIIIV
(b)IIIIVIII
(c)IVIIIIII
(d)IVIIIIII
Correct Answer: (a)
Solution:

Match the list-I & List-II

List-IList-II
A. Section 10 (1)Agricultural Income
B. Section 10 (10 C)Amount received involuntary retirement
C. Section 10 (13 A)House Rent allowance
D. Section10 (10 AA)Leave Encashment

Key points :
■ As per section 10 (1) income tax act, agriculture income earned by the tax payer in India is exempt from tax.
■ Under Section 10 (10 (C)) J.T. Act any amount received receivable by a specified category of an employee under the voluntary retirement scheme is exempted.

36. Which of the following are required to be studied for a deep understanding of Income Tax procedures?

A. The Income Tax Act, 1961
B. The Income Tax Rules, 1962
C. Notifications, circulars and classification issued from time to time by the CBDT
D. Judicial decisions
E. Companies Act, 2013
Choose the correct answer from the options given below :

Correct Answer: (b) A, B, C and D only
Solution:

The following are required to be studied for a deep understanding of income tax procedures :
■ The Income Tax Act 1961
This act is a comprehensive statute that focuses on the different rules and regulations that govern taxation in the country.
■ The Income Tax Rule 1962
It contain the set of Rules which helps in the enforcement and application law constituted in the Act.
■ Notifications, cm colours, classifications issued from time to time by the CBDT and judical decisions.

37. Tax Audit is compulsory in case a person is carrying on a business whose gross turn over/receipts exceeds:

Correct Answer: (a) Rs. 1 crore
Solution:

Tax Audit is compulsory in case a person is carrying a business whose gross turn over/receipts exceeds 1 crore.
Note : Section 44B (Compulsory Audit of books of accounts)
■ Section 44AB makes it obligatory for a person to get his accounts audited before the "Specified date" by "Chartered Accountant". If the total sales, turnover in business for the previous year exceeds INR 1 crore or if his gross receipts in profession for the previous year exceeds INR 50 lakhs.

38. Match List-I with List-II

List-IList-II
A. Value added by Channel Members-Low; Market Growth Rate-LowI. Introductory stage
B. Value added by Channel Members-High; Market Growth Rate-LowII. Growth stage
C. Value added by Channel Members-Low; Market Growth Rate-HighIII. Mature stage
D. Value added by Channel Members-High; Market Growth Rate-HighIV. Decline stage

Choose the correct answer from the options given below :

ABCD
(a)IIVIIIII
(b)IIIIIIIV
(c)IIIIIVII
(d)IVIIIIII
Correct Answer: (d)
Solution:Match the list-I & List-II
List-IList-II
A. Value added by channel members-low; market growth rate-lowDecline stage
B. Value added by channel members-high : market growth Rate-lowIntroductory stage
C. Value added by channel members low; market growth Rate-HighMature stage
D. Value added by channel Members-High : Market Growth Rate highGrowth stage

Characteristics of the product life cycle-

StagesIntroductionGrowthMaturityDecline
1. SalesLow salesRapidly Increasing salespeak salesDeclining sales
2. CostsHigh Cost per customerAverage cost per customerLow cost per customerlow cost per customer
3. ProfitNegativeMore profitHigh ProfitDeclining profit
4. CustomerInnovatorsEarly AdoptersEarly Majority late majorityLaggards
5. Competitorfewmore in numberstable number, beginning to declinedeclining number

39. The term current account transaction is defined as a transaction other than a capital account transaction and without prejudice to the generality of the foregoing, such transaction includes:

A. Overseas direct investment, (ODIs) from India
B. Payment due as interest on loans and as net income from investments
C. Remittances for living expenses of parents, spouse, and children residing abroad
D. Borrowing or lending in foreign exchange and in Indian rupees
Choose the correct answer from the options given below:

Correct Answer: (c) B and C only
Solution:

Key points :
■ Current Account transaction :
Any person may sell or draw foreign enchange to or from an authorized person if such sae or drawal is a current account transaction.
Examples of current account transaction :
■ Payments due in connection with foreign trade, other current business, services, and short-term banking and credit facilities in the ordinary course of business.
■ Remittances for living expensis of parents, spours and children residing abroad.
■ Expenses in connection with foreign travel, education and medical care of parents, spouse, and children.

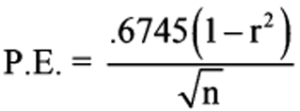
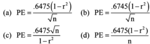
40. Which one of the following is CORRECT?

Correct Answer: (b)
Solution:Hence, P.E. = Probable Error
r = Correlation coefficient of ‘n’ pairs of observation for any random sample
N = Total Number of observations.