NTA UGC NET/JRF Exam, Dec. 2021/June 2022 Economics

Total Questions: 100

21. 'PM Gatishakti' is driven by________engines.

Correct Answer: (d) Seven
Solution:

PM Gatishakti is driven by seven engines.
(1) Logistic infro
(2) Railways
(3) Mass transport
(4) Roads
(5) Ports
(6) Airports
(7) Waterways.

22. A simultaneous equation model is said to be over-identified if.

Correct Answer: (b) More than one numerical values can be obtained for some of the parameters of the structural equations
Solution:

A simultaneous equation model is said to be over-identified if more than one numerical values can be obtained for some of the parameters of the structural equations.

23. Find the rank of

Correct Answer: (b) 2
Solution:

row × column
m × n
[3×3] matrix
determinant of A
⇒ 6(2×3-2×8) - 3(-10×3-8×5) + 5(-10×2-5×2)
=6(-10)-3(-70)+5(-30)
= -60 + 210 - 150 = 0
Matrix of determinant value came zero this means either one row or one column is zero so that rank will not be 3.

24. Which of the following conditions prevail in the long run equilibrium of industry for achieving optional resource allocation

A. The output is produced at the minimum feasible cost
B Comsumer pays the minimum possible price which just covers the marginal cost of the producer
C. Plants are used at full capacity in long run
D. Firms earn supernormal profits
E. Perfect competitive firms and price mechanism operates
Choose the correct answer from the options given below:

Correct Answer: (a) A, B, C and E only
Solution:

A, B, C and E are the correct statement.
Important points :-
The optimality is shown by the following conditions which prevail in the long-run equilirbium of the industry.
a) The output is produced at the minimum feasible cost.
b) Consumers pay the minimum possible price which just covers the marginal cost of the product, that is, price = opportunity cost.
c) Plants are used at full capacity in the long run, so that there is nowaste of resources. d) Firms only earn normal profit.
• For a firm to achieve long run equilirbium, the marginal cost must be equal to the price and the long run average cost. That is, LMC = LAC = P. The firms adusts the size of its plant to produce a level of output at which the LAC is minimum.

25. What has been the reason for recent dip in vehicle registration in the country?

Correct Answer: (a) Shortage of semi-conductor chips
Solution:

Shortage of seminconductor chips has been the reason for recent dip in vehicle registration inthe country.
• Automotive electronics :-
The shortage has increased the cost of producing cars by up to 5%. It has also imported the market for electric Vehicles (EVs) in India.
Note:-
The shortage has been ongoing since 2020 and has been attributed to factors such as:
(1) The COVID-19 pandemic.
(2) Vulnerabilitics and weak points in the semiconductor supply chain.
(3) The disruptive impacts of the pandemic or semiconductor companies.

26. Arrange the following chronologically in order of their years of first occurrence:

A. Environmental Kuzents Curve Hypothesis
B. Limits to growth theorem
C. Bouldings 'The Economics of Coming Spaceship Earth'
D. Jevon's Coal Question E. Raechel Canson's Silent Spring
Choose the correct answer from the options given below:

Correct Answer: (e) (*)
Solution:

(1) Jevon's Coal Question - 1865
(2) Raechel Canson's silent springs - 1962
(3) Bouldings "The Economics of coming spaceship Earth - 1966
(4) Limits to growth theorem - 1972
(5) Environmental Kuznets Curve Hypothesis - 1995

27. Match List I with List II:

List IList II
A. Rural-Urban migrationI. Arthur Lewis
B. Economic development with unlimited supply of labourII. Gunnar Myrdal
C. Process of cumulative causationIII. Raul Prebish
D. Decline in terms of trade of primary commoditiesIV. Harris-Todaro

Choose the correct answer from the options given below:

ABCD
(a)IIVIIIII
(b)IVIIIIII
(c)IIVIIIII
(d)IIIIIIIV
Correct Answer: (b)
Solution:

The correct match is as follows -

List-IList-II
Rural-Urban migration-Harris-Todaro
Economic development with unlimited supply of labour-Arthur Lewis
Process of cumulative causation-Gunnar Myrdal
Decline in terms of trade of primary commodities-Raul Prebish

28. One of the various qualitative instruments used by the central bank during inflation is

Correct Answer: (a) Raise margin requirement
Solution:

Various qualitative instruments used by the central bank during inflation is →
Raise margin requirement.
Important points :-
In case of inflation, the margin requirement is increased so that demand for loans are decreased and in case of deflation, margin requirements are decreased so that demand for loans are increased.

For example - a person mortgages his house worth one crore rupees with the bank for a loan of 80 lakh rupees.

29. Growth in total consumption in India in 2021- 22 is likely to be

Correct Answer: (c) 7.0 Percent
Solution:

The Survey added that total consumption is estimated to have grown by 7.0 percent 2021-22 with government consumption remaining the biggest contributor as in the previous year. Government consumption is estimated to grow by a strong 7.6 percent surpassing pre-pandemic levels.

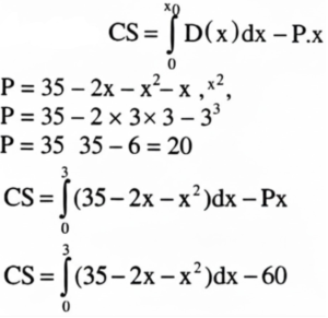
30. If the demand function is: P = 35 - 2х - x² and the demand X₀ is 3. What will be the consumer's surplus?

Correct Answer: (a) 27
Solution: