NTA UGC NET/JRF Exam, December-2022 Economics (Shift-I)

Total Questions: 100

11. In accelerator theory, capital output ratio is assumed to be.

Correct Answer: (d) Constant
Solution:

In this Accelerator model assumes that the stock of capital goods (K) is proportional to the level of production (Y) : K = K x Y. This implies that if K (the Capital - Output ratio) is constant, an increase in Y requires and increase in K.

12. Government spending is.

Correct Answer: (d) All of the above.
Solution:

Autonomous expenditures are expenditure that are necessary and made by the government regardless of level of income in an economy. And also controlled by policy makers.

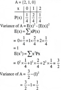
13. Find the variance of random variables which constitute the number of heads in a toss coins simultaneously.

Correct Answer: (a) 1/2
Solution:

14. Solve the following equation:

Correct Answer: (b)
Solution:


15. Solve the following equation:

Correct Answer: (b) 0.016
Solution:

16. Test statistics used to test stationary of a time series in the presence of correlated error term is.

Correct Answer: (d) Augmented Dickey-Fuller test
Solution:

Augmented Dickey - Fuller test kwiatkowski - Phillips - Schimidt - Shin test, which are the most common statistical tests used to test whether a given time series is stationary or not.

17. In logit model as Pi goes from 0 to 1, logit L varies from.

Correct Answer: (b) - ∞ to +8
Solution:

As π goes from 0 to 1 (i.e. as n varies from - to+∞), The logit L goes from - ∞ to + ∞. that is although the probabilities (of necessity) lie between 0 and 1, the logits are not so bound.

18. Find the Elasticity of Substitution (σ) of constant elaticity of substitution (CES) production function. When the substitution parameter (p) lies between 0 < r<∞.

Correct Answer: (b) σ<1
Solution:

σ = 1/(1-p), 0 < p < ∞
p = Substitution Parameter
σ = Elasticity of substitution
So, for 0<p<∞, the elasticity of (σ) will be between 0 and 1, showing that the factors of production are not perfect substitutes but can still be substituted some extent.
σ < 1

19. The regression model Yₜ = α₁+α₂ Dₜ + β₁Xₜ + β₂ (YₜDₜ) + Uₜ is used to.

Correct Answer: (c) Analyse structural break in data
Solution:

Yₜ, = α₁ + α₂ Dₜ + ẞ₁ Xₜ+ ẞ2 (Yₜ Dₜ) + Uₜ Yₜ = fₜ(Tₜ Sₜ Eₜ)
Deterministic → stochastic or probabilistic The location of the structural break in the dates is often unknown and therefore must be estimated.

It must be determined if the model is a pure structural break model, in which all regression parameters change, or a partial structural break model in which only of the parameters change.

20. A box of nine golf gloves contains two left handed and seven right-handed gloves. If two gloves are randomly selected from the box without replacement, what is the probability that one is left-handed and the other is a righthanded glove?

Correct Answer: (c) 7/18
Solution:

2 Two left handed
7 Right handed
Total gloves = 9
Probability of 1 left handed = 2/9
and the 2ⁿᵈ right handed that would be 7/8.
So, 2/9 × 7/8
Now if we choose first right hand so it will be 7/9 & the 2ⁿᵈ left handed so probability will be 2/8
So, 2/9 × 7/8
this implies that
⇒ 2/9 × 7/8 + 7/9 × 2/8
= 14/72 + 14 + 72
= 28/72 = 7/18
= 7/18