NTA UGC NET/JRF Exam, December-2022 Economics (Shift-I)

Total Questions: 100

31. "Under-developed countries are the slums of the world economy", is a statement given by.

Correct Answer: (d) Cairncross
Solution:

The Statement was given by Cairncross a famous economist whose findings are basis for macroeconomic study in the current economic world.

32. The greater the divergence between the shadow price and the market price.

Correct Answer: (a) The greater the need for social cost-benefit analysis in public investment decisions.
Solution:

A shadow price is an estimated price for something that is not normally priced or sold in the market. Shadow pricing can provide businesses with a better understanding of the costs and benefits associated with a project.

33. Which one of the following pairs is NOT correctly matched?

AuthorBook
1.Simon KuznetsAsian Drama
2.J. RobinsonEssay on the Theory of Economic growth
3.Karl MarxDas Capital
4.Arthur W. LewisTheory of Economic Growth
Correct Answer: (a) 1
Solution:

In the 1950s, Simon Kuznets hypothesized that an inverted U-shaped relationship exists between inequality and development.

Asian Drama: An inquiry into the poverty of Nations; written by Gunnar Myrdal and was published in 1968.

34. Which of the following is not true about the basic postulates of the Malthusian Perspective on population?

Correct Answer: (c) Factor substitutions and technological advances can alleviate resource scarcities.
Solution:

Basic postulates of Malthusian Perspective on Population. This can be simplified as the following; the human Population grows in an exponential format, it increases according to birth rate and concerning that the food supply increases at a slower rate.

If the population keeps on increasing there will be a limit and shortage of food. And Statement 3rd is incorrect.

35. Which of the following criterion is used to judge the performance of instruments for environmental policу?

Correct Answer: (d) All of the above
Solution:

(i) Ensuring that for each firm, the marginal abatement cost is equal to the marginal damage from pollution.

(ii) Achieving equality of marginal abatement cost across polluters.

(iii) Minimising the total cost of the externality to the society.

36. Which of the following is true in the case of externality?

Correct Answer: (d) It is an amoral concept
Solution:

Externality caused market failure and it is an amoral concept which means that not including questions of right or wrong; without moral quality; neither moral nor immoral.

37. What does the case of 'Immiserising growth'?

Correct Answer: (b) Growth in poorer nations would actually be self defeating
Solution:

Immiserising growth (IG) occurs when economic growth fails to benefit, or harms those at the bottom of the distribution.
• Deterioration in the terms of Trade.
• In such situation, there can be net decline in the welfare of the nation.

38. In which stage of the product cycle model, the imitating country starts under selling the innovating country in third markets?

Correct Answer: (d) Stage-IV
Solution:

Stage -IV

39. If the nominal tariff rate (t) on consumers of the final commodity is 10 percent; the ratio of the cost of the imported input to the price of the final commodity in the absence of tariffs a; = 0.8: and the nominal tariff rate on the important input t; = 20%, then find the rate of effective protection.

Correct Answer: (d) - 30%
Solution:

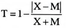
40. The level of intra-industry index (T) can be measured as.

Correct Answer: (a)
Solution:

To Calculate the intra-industry index, also known as the grubel-Lloyd index, we need to know the quantity of the good imported and the quantity exported.