NTA UGC NET/JRF Exam, December-2023 (Electronic Science)

Total Questions: 100

1. The most common kind of area defect found in silicon is the ____ and it always occur along ____ plane.

Correct Answer: A. Stacking fault, 111
Solution:

The stacking fault is the most common area defect found in silicon. These faults typically occur along the 111 plane. In the crystalline structure of silicon, atoms are arranged in a specific pattern known as a diamond lattice.

A stacking fault refers to a disruption in the normal order of atomic layers within this lattice, which usually occurs in the 111 plane due to the geometric arrangement of the atoms. This type of defect can affect the electrical and mechanical properties of the material, such as the mobility of charge carriers and mechanical strength.

2. An important figure of merit for microwave application of Schottky diode is forward bias cut off frequency fₒ and is given by:

Correct Answer: C.
Solution:The important figure of merit for the microwave application of a Schottky diode is the forward bias cutoff frequency f𝔠o, which is given by:In this context, Rꜰ represents the forward resistance, and Cꜰ is the junction capacitance of the Schottky diode. The cutoff frequency defines the frequency at which the diode ceases of function efficiently due to its inherent capacitance and resistance.

Option A is incorrect because it includes an extra Rꜰ term and a Cꜰ² term in the denominator, which is not consistent with the correct formula. Option B has an incorrect constant π and also squares Cꜰ. Option D is incorrect because it misses the CF in the denominator, simplifying it incorrectly.

3. In MOSFET, the carrier velocity between constant mobility regime and the saturation velocity can be described as:

Correct Answer: A.
Solution:

In a MOSFET, the carrier velocity v between the constant mobility regime and the saturation velocity can be described by the equation:where:

  • μₙ is the mobility of the carriers,
  • E is the electric field,
  • vₛ is the saturation velocity,
  • n is an empirical factor that determines the sharpness of the transition between the two regimes.

Option A correctly represents this equation. This equation describes how the velocity increases linearly with the electric field at low fields (constant mobility regime) and approaches the saturation velocity at high fields (saturation velocity regime).

4. In a MOS structure theis the work function of metal and o, is the work function of semiconductor than the flat band voltage is:

Correct Answer: C.
Solution:

In a MOS (Metal-Oxide-Semiconductor) structure, the flat band voltage VFB is the voltage at which the energy bands of the semiconductor are flat, meaning there is no band bending and the electric field in the semiconductor is zero. The flat band voltage can be expressed in terms of the work functions of the metal (фₛ) and the semiconductor (0) as follows:
This equation is derived from the need to align the Fermi levels of the metal and the semiconductor when they are brought into contact.

5. When exposed to light, the positive resists in developer solution responds by becoming:

Correct Answer: D. more soluble
Solution:

When exposed to light, positive photoresists in developer solution become more soluble. Positive photoresists are designed such that the regions exposed to light undergo a chemical change, making them more soluble in the developer solution.

This allows the exposed areas to be washed away during the development process, creating a pattern. The chemical structure of the photoresist is altered upon exposure to light, which increases its solubility.

6. Czochralaski (Cz) method is used instead of using float zone technique to grow Si crystal because it produces:

Correct Answer: B. large diameter crystal
Solution:

The Czochralski (Cz) method is preferred over the float zone technique for growing silicon crystals because it produces large diameter crystals. The Cz method involves melting silicon in a crucible and then slowly pulling a seed crystal from the melt, allowing a large single crystal to form.

This method is well-suited for producing large diameter crystals, which are essential for manufacturing large silicon wafers used in the semiconductor industry.

7. When silicon dioxide of thickness d is grown, the Silicon consumed is:

Correct Answer: B. 0.44 d
Solution:

When silicon dioxide of thickness d is grown, the silicon consumed is 0.44d. This relationship comes from the fact that when silicon dioxide forms, silicon atoms combine with oxygen atoms, leading to a thicker layer of silicon dioxide than the silicon consumed.

The factor 0.44 accounts for the volume expansion that occurs during the oxidation process.

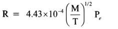
8. The evaporation rate from a clean surface is related to the equilibrium vapour pressure Pe of the evaporating species of molecular weight M by an expression:

Correct Answer: C.
Solution:The evaporation rate from a clean surface is related to the equilibrium vapour pressure Pₑ of the evaporating species with molecular weight by the following expression:
This formula is derived from kinetic theory and relates the evaporation rate to the vapour pressure and molecular weight, with temperature T factored into the denominator inside the square root. The term
indicates that the evaporation rate increases with higher molecular weight and decreases with higher temperature, which is consistent with physical principles where higher temperature provides more energy for molecules to escape the surface.

9. The Fourier transform of the following time domain function is:

Correct Answer: A.
Solution:

The given time domain function is a rectangular pulse of width T and height I. The Fourier transform of a rectangular pulse is a sin c function, which is mathematically expressed ashas a central peak at the origin and decays as o increases.
Option A shows a shape that matches the expected sinc function, with the central peak at ω = 0 and symmetrical decay on either side, accurately representing the Fourier transform of the rectangular pulse.

10. The T-parameters for the following cascaded network is:

Correct Answer: A.
Solution:To determine the correct T-parameters (ABCD parameters) for the given cascaded network, we need to carefully analyze the network step-by-step, focusing on the correct option and the reasoning behind choosing it.
  • Segment 1: 2Ω in series with (4Ω in parallel with 10Ω)
  • Segment 2: 4Ω in series with (4Ω in parallel with 8Ω)
  • Segment 3: 8Ω in series with 20Ω
    Now Calculate the ABCD parameters for each segment:
  • Segment 1:
    Now Combine the ABCD matrices:
    The total ABCD matrix is obtained by multiplying the individual matrices:
    [Tₜₒₜₐₗ] = [T₁] · [T₂] [T₃]
    First, multiply the first two matrices:Next, multiply by the matrix:
    By comparing this result with the provided options, the correct T-parameters set aligns with:Thus, the correct answer is A.