NTA UGC NET/JRF Exam, February-2023 (Electronic Science)

Total Questions: 100

21. The program does the following:

Loop 1 : MOV A, P1
MOV P2, A
JNB P3.3, Loop 1

Correct Answer: B. Read data from port 1 and write it to port 2 until bit 3 of port 3 is reset

22. In an 8086, AL = 19 BCD & BL = 36 BCD prior to execution of following example

ADD AL, BL
DAA
What will be content of AL after execution of the example?

Correct Answer: B. 5 5
Solution:

For the 8086 microprocessor:
Initially, AL = 19 BCD and BL = 36 BCD
Adding these: 19 + 36 = 55
However, in BCD, a single digit can't exceed 9. So, after the ADD operation, the result is 55, which isn't a valid BCD. The DAA (Decimal Adjust After Addition) instruction then adjusts the result to obtain a valid BCD. After DAA, AL will have a value of 55 (which is now a valid BCD).

23. The BIU of 8086 contains 16 bit segment registers. What is the width of address sent out by BIU of 8086 microprocessor?

Correct Answer: C. 20 bit
Solution:

The 8086 microprocessor has a segmented memory architecture, which means it accesses memory using a segment and an offset. Both segment and offset are 16 bits wide. However, the actual physical address is calculated by shifting the segment address 4 bits to the left and adding the offset. This results in a 20-bit physical address. Thus, the Bus Interface Unit (BIU) of the 8086 microprocessor sends out a 20-bit address.

24. If SS = 3000 H and SP = 2000 H in 8086 microprocessor, in which memory addresses the contents of BL and BH are stored respectively, when PUSH BX instruction is executed.

Correct Answer: D. 31FFEH, 31FFFH
Solution:

The 8086 uses the Stack Segment (SS) and Stack Pointer (SP) registers to handle stack operations. When you execute the PUSH BX instruction, the data in BX (which consists of BH and BL) is stored on the stack. Before this happens, SP is decremented by 2 (since it's a 16-bit register).
So, SP = 2000H – 2 = 1FFEН.
Given SS = 3000H, the physical address is calculated as:
Physical Address = (SS * 10H) + SP
= (3000H * 10H) + 1FFEH
= 30000H + 1FFEH = 31FFEH
So, BH is stored at 31FFEH and BL is stored, at 31FFFH.

25. An Elliptical polarized wave has an electric field of

E = sin(ωt - βz)âx +2sin(ωt - Bz+75°).ây V/m.
The power per unit area conveyed by the wave in free space.

Correct Answer: B. 6.63 mW/m²

26. Which one of the fundamental equation was modified by Maxwell to form the basis of electro magnetic theory?

Correct Answer: B. Ampere Law
Solution:

The modification made by Maxwell to the existing electromagnetic laws was to Ampere's Law. He introduced a term known as the "displacement current" to account for the changing electric field in a capacitor.

This modification was crucial to make Ampere's Law consistent with the conservation of charge in situations where the electric field is changing, such as in a charging or discharging capacitor.

With this modification, Maxwell's equations became a complete set that could describe all electromagnetic phenomena, leading to the prediction and subsequent discovery of electromagnetic waves.

27. A scalar function V is given by V = 2xyz². The gradient of V is given by:

Correct Answer: C.
Solution:

The gradient (or grad) of a scalar function V is a vector field that points in the direction of the greatest rate of increase of V, and its magnitude is the maximum rate of change.
For V = 2xyz²,

28. 0 dBm power is transmitted, it means that actual power transmitted is:

Correct Answer: D. 1 mW
Solution:

The dBm is a unit of power in decibels (dB) relative to 1 mW. So, when 0 dBm power is transmitted, it means the actual power transmitted is equivalent to the referencе power, which is 1 mW.

It's essential to note that dBm provides a relative measure and is useful in communication systems where power levels can vary significantly and a logarithmic scale provides a more intuitive sense of the power levels.

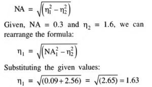
29. An optical fibre has numerical aperture (NA) of 0.3 and refractive index n₂ of cladding material is 1.6. What is the refractive index of core material?

Correct Answer: D. 1.63
Solution:

The numerical aperture (NA) of an optical fiber is defined by the square root of the difference of the squares of the refractive indices of the core (η₁) and the cladding (η₂). That is,So, the refractive index of the core material is 1.63.

30. In coherent binary FSK system the orthogonal sinusoidal signals of frequency 20 kHz and 50 kHz are used to represent 'O' and '1' respectively. The maximum possible bit interval is:

Correct Answer: B. 0.0166 m sec
Solution:

In coherent binary FSK (Frequency Shift Keying), orthogonal sinusoidal signals are used. The bit interval (Tb) is the inverse of the difference between the two frequencies. Given frequencies of 20 kHz and 50 kHz,
Δf = 50 kHz - 20 kHz = 30 kHz
The maximum possible bit interval is the inverse of this frequency difference:
Tb = 1/Δf = 1/30,000
= 0.0000333 sec
or 0.0333 ms or 0.0166 m sec.
Thus, the maximum possible bit interval for the coherent binary FSK system given the frequencies is 0.0166 m sec.