NTA UGC NET/JRF Exam, January 2025 (Commerce)

Total Questions: 100

21. Which of the following curves cannot be U-shaped?

Correct Answer: B. A.F.C Curve
Solution:

The Average Fixed Cost (A.F.C) Curve is not U-shaped; instead, it is a downwardsloping curve.
Fixed costs remain constant, but as output increases, AFC decreases continuously because it is calculated as:
AFC = Total Fixed Cost Output
AFC = Output Total Fixed Cost
Other curves (AVC, AC, and MC) are U-shaped due to the law of variable proportions, but AFC never rises again after declining.

22. Arrange the following actions of a manager in the increasing degree of control.

(a) Manager defines limits and asks for group decisions
(b) Manager offers tentative decisions to change
(c) Manager sells decisions
(d) Manager lets subordinates function within limits defined by him
(e) Manager presents problems, invites suggestions and makes decisions
Choose the correct answer from the options given below:

Correct Answer: C. (d), (a), (e), (b), (c)
Solution:(d) Manager lets subordinates function within limits defined by him→ Least control, as subordinates operate independently.
(a) Manager defines limits and asks for group decisions → Slightly more control, but still involves group participation.
(e) Manager presents problems, invites suggestions, and makes decisions→ The manager retains decision-making power but seeks input.
(b) Manager offers tentative decisions to change → More control, as decisions are already made but subject to modifications.
(c) Manager sells decisions → Highest control, as the manager has already decided and persuades others to accept it.

23. Which of the following are taxes (GST) applicable in the case of supply of goods?

I. From West Bengal to Chandigarh
II. From Puducherry to Chennai
Note:
CGST: Central Goods and Services Tax
IGST: Integrated Goods and Services Tax
UTGST: Union territory Goods and Services Tax
SGST: State Goods and Services Tax

Correct Answer: B.
Solution:Interstate supply of goods (i.e., between different states or a union territory and a state) is taxed under Integrated Goods and Services Tax (IGST).
I. West Bengal to Chandigarh → IGST applies because it is an interstate transaction.
II. Puducherry to Chennai → Puducherry is a Union Territory, and Chennai (Tamil Nadu) is a state; IGST applies here as well.

24. Match the List-I with List-II.

List-I (Direct Material Variance)List-II (Formula)
(a) Direct material cost varianceI. Standard price × (Revised Standard Quantity - Actual Quantity)
(b) Direct material price varianceII. Standard price × (Standard Quantity for actual output quantity - Actual Quantity)
(c) Direct material usage varianceIII. Actual Quantity × (standard price - actual price)
(d) Direct material mix varianceIV. Standard cost for actual output - actual cost

Choose the correct answer from the options given below:

Correct Answer: C.
Solution:(a) Direct Material Cost Variance - IV. Standard cost for actual outputActual cost
(b) Direct Material Price Variance - III. Actual Quantity × (Standard Price - Actual Price)
(c) Direct Material Usage Variance - II. Standard Price × (Standard Quantity for Actual Output - Actual Quantity)
(d) Direct Material Mix Variance -I. Standard Price (Revised Standard Quantity - Actual Quantity)

25. Which of the following points are considered as factors determinating the working capital of a firm?

(a) Basic nature of Business
(b) Business cycle fluctuations
(c) Credit Policy of the firm
(d) Long term source of finance
(e) Employee Skills
Choose the correct answer from the options given below:

Correct Answer: C. (a), (b) and (c) only
Solution:(a) Basic Nature of Business → Some businesses require more working capital (e.g., manufacturing) than others (e.g., services).
(b) Business Cycle Fluctuations→ During boom periods, firms need more working capital to handle increased demand.
(c) Credit Policy of the Firm →А firm offering longer credit terms to customers requires more working capital.
(d) Long-term Source of Finance and
(e) Employee Skills do not directly determine working capital needs.

26. Arrange the following levels of economic integration in increasing order.

(a) Political Union
(b) Free Trade Area
(c) Customs Union
(d) Common Market
(e) Economic Union
Choose the correct answer from the options given below:

Correct Answer: A. (b), (c), (d), (e), (a)
Solution:(b) Free Trade Area → The simplest form of economic integration where member countries eliminate trade barriers but maintain independent external policies.
(c) Customs Union→ A higher level of integration, where member countries adopt a common external trade policy.
(d) Common Market → Allows free movement of goods, services, capital, and labor among member countries.
(e) Economic Union → Further integration with harmonized economic policies and regulations.
(a) Political Union → The highest level of integration, where member countries unify political and economic policies under a single government structure.

27. Which section of the Income Tax Act 1961 mentions unilateral relief?

Correct Answer: C. 91
Solution:Section 91 of the Income Tax Act, 1961, provides unilateral relief to taxpayers to avoid double taxation in cases where no bilateral agreement exists between India and the foreign country. It applies when an Indian resident has paid tax on the same income in another country.

28. Which of the following statements are true regarding admission of a new partner?

(a) According to section 25 of the Indian Partnership Act, 1932, a person can be admitted as partner.
(b) New Profit - sharing ratio is the ratio in which all partners, including new partners, will share future profits and loses of the firm.
(c) New Profit Share = Profit Share Sacrificed Old Profit Share
(d) Sacrificing Ratio = Old Profit Share - New Profit Share
(e) The Profit or loss which arises from Revaluation Account will be transferred to partner's capital account.
Choose the correct answer from the options given below:

Correct Answer: A. (b), (d) and (e) only
Solution:(b) New Profit - sharing ratio is the ratio in which all partners, including new partners, share future profits and losses.
(d) Sacrificing Ratio = Old Profit Share - New Profit Share: This determines the portion of profit sacrificed by existing partners in favour of the new partner.
(e) Profit or loss from Revaluation Account is transferred to partners' capital accounts, ensuring that old partners receive the effect of asset and liability revaluation before admitting a new partner.

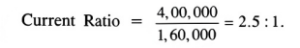
29. Current assets are₹4,00,000

Inventories are 2,00,000
Working capital is₹ 2,40,000
Calculate Current Ratio.

Correct Answer: B. 2.5: 1
Solution:

Current Ratio Formula:

30. Match the List-I with List-II.

List-I (Act)List-II (Year)
(a) Indian Contract ActI. 2013
(b) Sales of Goods ActII. 1872
(c) Negotiable Instruments ActIII. 1930
(d) Companies ActIV. 1881

Choose the correct answer from the options given below:

Correct Answer: A.
Solution:(a) Indian Contract Act - II. 1872: Governs contract law in India, establishing the legal framework for agreements.
(b) Sales of Goods Act - III. 1930: Defines rules regarding the sale of goods, including conditions, warranties, and rights of buyers and sellers.
(c) Negotiable Instruments Act - IV. 1881: Governs financial instruments like promissory notes, cheques, and bills of exchange.
(d) Companies Act - I. 2013: Regulates the incorporation, operation, and
governance of companies in India.