NTA UGC NET/JRF Exam, June 2019 Economics (Shift-II)

Total Questions: 100

11. The inconsistency of which one of the following criteria is labeled as Scitovsky Paradox?

Correct Answer: (d) Kalodor-Hicks criterion
Solution:

The Scitovsky Paradox is a paradox in welfare economics which is resolved by stating that there is no increase in social welfare by a return to original part of the losers. According to Scitovsky, Kaldor Hicks criterion involves contradictory and inconsistent results. What Scitovsky demonstrated what it is possible that if an allocation.

A is deemed superior to another allocation B by the Kaldor compensation criteria, then by subsequent set of moves by the same criteria, we can prove that B is also superior to А.

The paradox occurs when the gainer from the change of allocation A to allocation B can compensate the loser for making the change, but the loser could also then compensate the gainer for going back to the original position.

Scitovsky pointed out that to get at the correct criterion of welfare we must remove this contradiction. He has therefore offered his own criterion called the "Scitovsky Double criterion."

12. Why do individuals act in riskier ways after being insured?

Correct Answer: (c) Due to the problem of moral hazard
Solution:

Individuals act in riskier ways after being insured is due to the problem of moral hazard. Moral hazard in insurance. This occurs where the parties involved have incomplete information. One of the parties gets into a risky event knowing that it is insured (protected against the risk) and the other party will incur the cost.

13. Question Numbers : (13 to 15) Direction: Read the passage given below and answer the questions that follow it : Suppose that for a particular economy of some time period, investment was equal to 100, government expenditure was equal to 75, net taxes were fixed at 100 and consumption (C) was given by the consumption function : C = 25 + 0.8 YD where Y​🇩​ is disposable income and Y is GDP. Sub question

What is the level of equilibrium income (Y)?

Correct Answer: (b) 600
Solution:

Taxes (Tₐ) = 100
Investment I = 100
Govt. Expenditure (G) = 75
Consumption (C) = 25 + 0.8YD
Y= C+I+G
Y = 25 + 0.8 (Y -T) + 100 +75
Y = 25 + 0.8Y -0.8T + 175
Y = 25 + 0.8Y - 0.8 × 100 + 175
= 200 + 0.8Y-80
Y - 0.8Y = 200 – 80
0.2Y = 120
Y= 120/0.2 = 600

14. What is the value of the government expenditure multiplie (△Y/△G) ?

Correct Answer: (a) 5
Solution:ΔΥ/ΔG  =  1/(1-c) = 1/(1-0.8) = 1/0.2 = 5

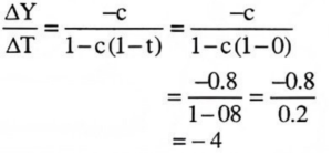
15. What is the value of tax multiplier (ΔΥ/ΔT)?

Correct Answer: (d) -4
Solution:

16. Match List-I with List-II :

List-I (Economic Concepts)List-II (Economists)
A. Accelerator and multiplier interaction(i) Modigliani, Ando and Brumberg
B. Cambridge approach(ii) Akerlof and Yellen
C. Life cycle hypothesis(iii) Paul Samuelson
D. Efficiency wage model(iv) Alfred Marshall and A. C. Pigou

Choose the correct option from those given below:

Correct Answer: (b) A-iii B-iv C-i D- ii
Solution:
List-I (Concept)List-II (Economist)
Accelerator and multiplier interactionPaul Samuelson
Cambridge approachAlfred Marshall and A. C. Pigou
Life cycle hypothesisModigliani, Ando and Brumberg
Efficiency wage modelAkerlof and Yellen

17. An increase in money supply will increase the demand for goods and services by

Correct Answer: (b) lowering the interest rate so that investment spending increases
Solution:

An increase in money supply will increase the demand for goods and services by lowering the interest rate so that investment spending increase.

An increase in the supply of money works both through lowering interest rates, which spurs investment and through putting more money in the hands of consumers, making them feel wealtheir and thus stimulating spending.

Business firms respond to increased sales by ordering more raw materials and increasing production.

18. The long-term chronic unemployment arising from imbalance between the skills and other characteristics of workers in the market and the needs of employers is known as

Correct Answer: (c) structural unemloyment
Solution:

Long-term chronic unemployment arising from imbalance between the skills and other characteristics of workers in the market and the needs of employers is known as structural unemployment.

Structural unemployment represents a long-term shift in how an economy functions, leading workers to become marginalized.

19. As income falls, consumption declines but proportionately less than the decrease in income because the consumer desires to sustain previous standard of living. This is called.

Correct Answer: (a) ratchet effect
Solution:

An income falls, consumption declines but proportionately less than the decrease in income because the consumer desires previous standard of living. This is called Ratchet effect.

The ratchet effect in an economic process that is difficult to reverse once it is underway or has already occurred.

A ratchet is an anlaogy to a mechanical ratchet, which spins one way but not the other, in an economic process that tends to only work one way.

20. In efficiency wage model, the real wage is set to

Correct Answer: (d) maximise the efficiency of worker per rupee of real wages received
Solution:

In efficiency wage model, the real wage is set to maximise the efficiency of worker per rupee of real wage received.

Efficiency wages refer to employers paying higher than the market rate to retain skilled workers, increase productivity, or ensure loyalty.

Efficiency wage theory helps explain why firms are reluctant to cut wages even in the face of increased competition or during economic downturns.