NTA UGC NET/JRF Exam, June 2019 Economics (Shift-II)

Total Questions: 100

81. "Education as investment in human resources plays an important role among the factors which contribute to economic growth." This statement was given by

Correct Answer: (b) Education Commission, 1969
Solution:

"Education as investment in human resources plays an important role among the factors which contributes to economic growth" is statement given by Education Commission. 1966.

82. Which of the following is NOT an instrument of capital market with special reference to India?

Correct Answer: (d) Commercial paper
Solution:

Various types of capital market instruments, including equity, debt, derivatives among others, facilitate the mobilization and allocation of long term funds.

Understanding them is essential for developing a grasp of the capital market in particular and the Indian Financial Market in General.

Note: Capital market instruments are various financial tools available in the capital markets for investment and fundrasining.

They include equities like stocks, debt securities like bonds and debenture derivatives such as options and future Exchange-Traded Funds (ETFs), and foreign exchange instruments.

83. Assertion (A): The share of the noncommodity sector in the national income has been increasing in India. Reason (R) : Industry and Agriculture have been growing at a relatively slower pace in India.

Choose the correct answer from the options given below:

Correct Answer: (a) Both (A) and (R) are true and (R) explains (A)
Solution:

Yes, the share of the non-commodity sector in the national income has been increasing in India. In India, the service sector accounts for about 52% of the GDP, while the agricultural sector accounts for about 18% and the industry sector accounts for about 30%.

The service sector is expected to grow at 9.1% in FY23, compared to 8.4% in FÝ22.

And Yes Industry and Agriculture have been growing at a relatively slower pace in India.

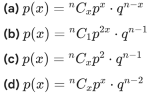
84. In a binomial distribution, the probability of x successes in n trials in any order is given by

Correct Answer: (b)
Solution:

85. The correct relationship among Arithmetic Mean (AM), Geometric Mean (GM) and Harmonic Mean (HM) is

Correct Answer: (c) [GM]² = HM x AM
Solution:

Relationship Among
Arithmetic Mean (AМ),
Geometric Mean (GM) and
Harmonic Mean (HM) is
[GM]² =HM×AM

86. For a moderately skewed distribution, the value of mode is 10 and value of median is 20 Then the mean is

Correct Answer: (c) 25
Solution:

3 (median) = mode + 2 mean
Median = 20
Mode = 10
Mean = ?
⇒3 (20) = 10 + 2 mean
60-10= 2 mean
mean = 50/2 = 25

87. Standard Error (SE) of sample mean x̅ in random sampling from an infinite population or in random sampling with replacement is given by

Correct Answer: (d)
Solution:

88. When the null hypothesis is there as an equality, the level of significance is the probability of making

Correct Answer: (a) type II error
Solution:

Type I error occurs when in research, we rejects the null hypothesis and erroneously state that the study found significant differences when there indeed was no difference. In other words, it is equivalent to saying that the groups or variables differ when, in fact they do not or having false positive.

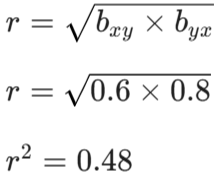
89. In a two variable (X and Y) regression analysis, the regression coefficients are bₓy = 0.8. If y is dependent variable and x is independent variable, what is the percentage of variations in Y explained by X ?

Correct Answer: (b) 48%
Solution:

90. Match List-I with List-II

List-I (Concept)List-II (Term/Symbol)
A. Gauss-Markov(i) 
B. Coefficient of determination(ii) One sided test
C.H₀ : B₂ = 0, H₁ : B₂ = 70(iii) Goldfeld-Quandt test
D. Heteroscedasticity(iv) BLUE (Best Linear Unbiased Estimator)

Choose the correct option from those given below:

Correct Answer: (a) A-iv B-i C-ii D- iii
Solution:
List-I (Concept/Hypothesis)List-II (Term/Test)
Gauss-MarkovBLUE (Best Linear Unbiased Estimator)
Coefficient of determination
C.H₀ : B₂ = 0, H₁ : B₂ = 70One sided test
HeteroscedasticityGoldfeld-Quandt test