NTA UGC NET/JRF Exam, June 2020 Economics

Total Questions: 100

11. A leftward shift in labour demand curve is caused by:

Correct Answer: (d) Decrease in marginal productivity of labour
Solution:

The demand curve shifts when the quantity of product or service demanded at each price level changes. If the quantity demanded at each price level increases, the demand curve shifts right ward.

Inversely, if the quantity demanded at each price level decreases, the demand curve will shift leftward. Decrease in marginal productivity of labour.

12. Cross eleasticity of demand of metro rides is 0.8 and total ridership per day is 1.5 Lakh. If price of bus rides rises by 5%, the change in total metro rides will be:

Correct Answer: (c) 6000
Solution:

Cross price elasticity of metro ride with respect to price of bus ride.

13. Given below are two statements, one is labelled as Assertion A and the other is labelled as Reason R.

Assertion A : High powered money is the source of all other forms of money that impact money supply
Reason R: Credit is created by commercial banks In light of the above statements, choose the most appropriate answer from the options given below.

Correct Answer: (b) Both A and R are correct but R is NOT the correct explanation of A
Solution:

High powered money = currency notes and coins + cash reserves with commercial banks or H = C + R. It is the source of all other forms of currency that impact money supply denoted by M1.

14. Absolute income hypothesis explains:

Correct Answer: (a) Consumer behavior
Solution:

In economics, the absolute income hypothesis concerns how a consumer divides their disposable income between consumption and savings. It is part of the theory of consumption proposed by economist John Maynared Keynes.

15. The cost of holding money by individuals:

A. Loss of real value of money due to deflation
B. Foregone interest from savings
C. Utility foregone by not buying goods and services
D. Returns foregone by not holding other assets
Choose the most appropriate answer from the options given below:

Correct Answer: (a) B, Cand D only
Solution:

The cost of holding money by individual. Foregone interest from savings. Utility foregone by not buying goods and services. Returns foregone by not holding other assets.

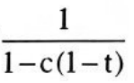
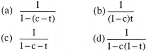
16. The government multiplier is given by (where c = - MPC and t = tax rate)

Correct Answer: (d)
Solution:

government multiplier AM =

17. Arrange the following in chronological order:

A. Rational Expectation Doctrine
B. Keynesian Economics
C. Monetarism
D. Classical Economics
Choose the correct answer from the options given below:

Correct Answer: (d) D, B. C, A
Solution:

Classical economics, Keynesian economics, monetarism, rational expectation doctrine.

18. IS and LM curve analysis explain:

A. Product market equilibrium
B. Money market equilibrium
C. Capital market equilibrium
D. Foreign trade equilibrium
Choose the correct answer from the options given below:

Correct Answer: (c) A and B only
Solution:

IS and LM cure analysis explain
Product Market Equilibrium.
Money Market Equilibrium.

19. Which of the following situations represents an economic investment in the national income calculation?

A. Buying a newly constructed house for selfoccupation
B. Buying of new shares
C. Buying a new car by a publishing house for delivering books
D. Buying a new car by a household
Choose the correct answer from the options given below:

Correct Answer: (d) A and C only
Solution:

Situations represents an economic investment in the national income calculation. Buying a newly constructed house for self-occupation. Buying a new car by a publishing house for delivering books.

20. What is the value of the equilibrium level of income for the data given below for an economy?

c = 50 + 0.8 Yd
t = 20%
I = 100
G = 20

Correct Answer: (c) 500
Solution:

c = 50 + 0.8 Yd
t = 20%
I = 100
G = 20