Solution:
This order condition for identification is based on the counting role of variables included and excluded from the particular solution. It is necessary but insufficient. K is total number of variables in the whole equation.
M is the number of variables in a particular equation. G is no of equation.
Cases: 1. When K - M = G - 1, then it is case of just or exactly identified.
2. K-M>G - 1, then over identified.
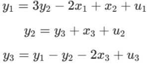
3. K-M<G-1, then under identified. equation; Y₁ = 3у₂ - 2x₁ + X₂ + V₁.
then, k = У₁, У₂, У₃, Х₁, Х₂, Х₃, hence, k = 6
М = У₁, У₂, Х₁, Х₂ then, M = 4
as, K = 6, M = 4
So, K - M = 6 - 4 = 2
G-1 = 3-1 = 2
K - M = G - 1, therefore, the status of the equation is just/exactly identified.