NTA UGC NET/JRF Exam, June -2020 (Electronic Science)

Total Questions: 100

1. In case of varactor diode with hyper-abrupt junction the sensitivity (S) value for m = -(5/3) is: :

Correct Answer: B. 3

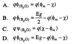
2. For an ideal MS contact between a metal and a P-type semi-conductor. The relation between barrier height qΦ(Bₚ0) is given by:

Correct Answer: D.

3. The Debye length L is a characteristic length for semi-conductor and is defined as:

where, K is Boltzmann constant, T is temperature in Kelvin, q is unit electronic charge, N is impurity concentration of the substrate in per m³. ∈ₛ is dielectric permittivity of silicon.

Correct Answer: B.

4. The depletion layer width at thermal equilibrium for a one-sided abrupt junction is:

Correct Answer: B.

5. Number of ways in which a Schottky defect can occur in silicon is given by:

where N = total number of atoms in a crystal of unit volume
n₅ = number of Schottky defects per unit volume.

Correct Answer: D.

6. What would be system pressure of Si-MBЕ system in order to achieve 5 x 10⁷ cm mean free path(L) of atoms?

Correct Answer: D. 10⁻¹⁰ torr

7. Which Plasma Analytical technique involves placement of conducting probe smaller than particle mean free path directly in the plasma?

Correct Answer: D. Langmuir technique

8. Which gas is used in reactive plasma for etching all three i.e, silicides, silicon and silicon dioxide?

Correct Answer: C. CF₄ + O₂

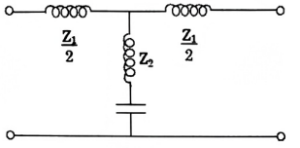
9. Consider a circuit as shown in figure

The circuit is:

Correct Answer: C. The m-derived low-pass filter

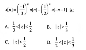
10. The region of convergence of the sequence

Correct Answer: A.