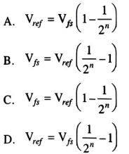
NTA UGC NET/JRF Exam, June -2020 (Electronic Science)Total Questions: 10011. The Fourier series expansion of a periodic function with half wave symmetry contains:A. only even harmonicsB. only odd harmonicsC. both even and odd harmonicsD. no harmonicsCorrect Answer: A. only even harmonics12. The Fourier transform of x [-n] is:A. X* (e⁻ʲʷ)B. X* (eʲʷ)C. X* (-e⁻ʲʷ)D. X* (-eʲʷ)Correct Answer: A. X* (e⁻ʲʷ)13. The slew rate for a 741 is 0.5 V/μ second, The combination of maximum frequencies for an undistorted sine-wave output of 10 V peak and 1 V peak are approximately:A. 8 kHz and 80 kHzB. 48 kHz and 4.8 kHzC. 20 kHz and 2 kHzD. 2 kHz and 20 kHzCorrect Answer: D. 2 kHz and 20 kHz14. Which of the following is not a component of basic Phase-Locked Loop (PLL)?A. Phase detectorB. Voltage controlled oscillatorC. Schmitt TriggerD. Low-pass filterCorrect Answer: D. Low-pass filter15. If T, and Tᴀ are junction temp. and ambient temp respectively θᴊc θcs and Osᴀ are transistor thermal resistance, insulator thermal resistance and heat-sink thermal resistance respectively. The equation of maximum power dissipation is given by:A.B.C.D.Correct Answer: C.16. Read the statement.A.B.C.D.Correct Answer: C.17. Which of the following statements is not correct about a CPLD (Complex Progammable Logic Device)?A. A CPLD is a logic device that consists of multiple SPLDs interconnected on a single chipВ. А СРPLD is based on Product-Of-Sums (POS) architectureC. A CPLD consists of multiple group of PAL with programmable interconnectionD. A CPLD can be used to implement large logic functionCorrect Answer: В. А СРPLD is based on Product-Of-Sums (POS) architecture18. The final code after encoding data bits 1101 into 7-bit even parity Hamming Code is:A. 1110101В. 1011101C. 1010101D. 0110101Correct Answer: C. 101010119. The A/O gates in which an addition variable or a combination of variables can be included in the logic operation are called:A. AOI GatesB. Expandable GatesC. Variable GatesD. Scalable GatesCorrect Answer: B. Expandable Gates20. The statement which is not applicable to a Moore machine:A. Output is a function of present state onlyB. It requires more number of states for implementing same functionC. Input changes do not affect the outputD. The characteristic equation of output Z(t) can be given as Z(t)= g{S(t), x(t)} where S(t) represents present state, x(t) indicates present inputCorrect Answer: D. The characteristic equation of output Z(t) can be given as Z(t)= g{S(t), x(t)} where S(t) represents present state, x(t) indicates present inputSubmit Quiz« Previous12345678910Next »