NTA UGC NET/JRF Exam, June -2020 (Electronic Science)

Total Questions: 100

41. Currents in the three terminals of a transistor are mostly diffusion currents which are related by the minority carrier distribution in the base region. Which of the following statements are correct?

(a) The applied voltages control the boundary densities through the term exp(qV/kT)
(b) The base current is the difference between the emitter and collector currents
(c) In order to maximize emitter resistance, the emitter contact is usually made directly on top of the emitter
(d) Emitter Bandgap narrowing increases current gain
(e) Emitter and collector currents are given by the minority density gradients at the junction boundaries
Choose the most appropriate answer from the options given below:

Correct Answer: B. (a), (b), (e) only

42. The small signal model of tunnel diode can be represented as:

where Rₛ is series resistance;
Lₛ is series inductance:
Cⱼ is junction capacitance;
-Rₛ is negative resistance
Choose the most appropriate answer from the options given below:

Correct Answer: C. (c) only

43. In which of the following techniques beam of electrons is used as a probe and the secondary radiation is X-ray.

(a) LEED
(b) EMP
(c) TEM
(d) STEM
(e) EELS
Choose the correct answer from the options given below:

Correct Answer: B. (b) and (d) only

44. Which metals or alloys amongst the following, do not reduce SiO₂ and are found to have poor adhesion on SiO₂, surfaces.

(a) W
(b) Mo
(c) Al
(d) TiN
(e) WSi₂
Choose the correct answer from the options given below:

Correct Answer: D. (a) and (b) only

45. Which of the following gases commonly used in CVD are pyraphoric, toxic and flammable?

(a) Phosphine
(b) Argon
(c) Nitrogen Oxide
(d) Silane
(e) Nitrogen
Choose the most appropriate answer from the options given below:

Correct Answer: D. (a) and (d) only

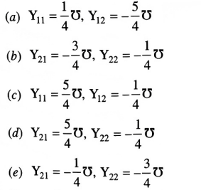
46. Consider a circuit shown in figure:

The correct values of Y parameters are:Choose the correct answer from the options given below:

Correct Answer: C. (a) and (e) only

47. Which of the following statements regarding tree are correct?

(a) All the links of a tree together does not constitute the complement of the corresponding tree
(b) A connected subgraph of a connected graph is a tree if there exist (n - 1) nodes of the group
(c) A connected subgraph of a connected graph is a tree if there exists many paths between any pair of nodes in it
(d) The number of terminal nodes or end vertices of every tree are atleast two
(e) Every connected graph has atleast one tree
Choose the correct answer from the options given below:

Correct Answer: D. (d) and (e) only

48. Which of the following statements are not correct?

(a) Precision rectifiers use positive feedback to compensate for the forward drop of the diodes
(b) Precision peak detector uses a capacitor to effectively lengthen the duration of the peaks
(c) Limiters may be thought of as programmable signal clippers
(d) In order to improve performance of comparators negative feedback may be used
(e) There are two basic approaches for realizing a design: (1) using zener diodes and (2) using biased-signal diode network Choose the most appropriate answer from the options given below:

Correct Answer: A. (a) and (d) only

49. The network formed by resistors and capacitors for modifying the rate of change of gain and the phase shift is called a compensating network. Which of the following statements are not correct?

(a) The main purpose of a compensating network is to modify the performance of op-amp ciruit over the desired frequency range
(b) There are two types of op-amps: internally compensated and externally compensated
(c) 741 С is an externally compensated oрamp while 709 C is internally compensated op-amp
(d) The phase lag and phase lead are most commonly used compensating networks in op-amps
(e) Phase lag contributes a positive phase angle and phase lead a negative phase angle
Choose the most appropriate answer from the options given below:

Correct Answer: D. (c) and (e) only

50. Three major types of programmable logic are SPLD, CPLD and FPGA. Each major type have many manufacturer specific subcategories. Some statements are given below related to these programmable logic devices. Which of the following statements are correct?

(a) CPLDs have much higher capacity than SPLDs
(b) FPGAs are similar to CPLDs in their internal organization
(c) Two basic classes of FPGAs are course grained and fine grained
(d) Fine grained FPGA has large logic blocks while course-grained FPGA has much smaller logic blocks
(e) FPGAs come in package and ranging less than 1000 pins.
Choose the most appropriate answer from the options given below:

Correct Answer: D. (a) and (c) only