NTA UGC NET/JRF Exam, June -2020 (Electronic Science)

Total Questions: 100

51. The performance parameters of a logic family are required for better understanding. The following statements explain the characteristics of Digital logic family. Which of these statements are correct?

(a) The operating speed of a logic family is determined from its propagation delay
(b) Power dissipation is inversely proportional to switching frequency and directly proportional to cycle time
(c) Fan-in is defined as maximum number of inputs for a logic gate in a particular logic family
(d) Fan-out is defined as number of dissimilar logic gates driven by a single logic gate
Choose the most appropriate answer from the options given below:

Correct Answer: B. (a) and (c) only

52. In case of the parallel adder, the speed with which an addition can be performed is governed by the time required for the carries to propagate or ripple through all the stages of the adder.

Which of the following statements are correct?
(a) The method of speeding up the addition process is based on additional functions of full-adder called carry generate and carry propagation
(b) The look-ahead-carry adder speeds up the process by eliminating ripple carry delay.
(c) The final sum output of the nth stage is given by Sₙ = Pₙ ⊕ Cₙ where Pₙ = Aₙ ⊕ Bₙ
(d) The final carry output of nth stage is given by Cₙ₊₁ = Gₙ + Pₙ where Gₙ = Aₙ . Bₙ
Choose the correct answer from the options given below:

Correct Answer: C. (a), (b) and (c) only

53. For the 40-character wide LCD, the upper address range can go as high as:

(a) 0101011
(b) 1000000
(c) 0100111
(d) 1001000
(e) 1011111
Choose the most appropriate answer from the options given below:

Correct Answer: A. (c) only

54. Keyboards are organised in a matrix. The CPU of 8051 accesses both rows and columns through its ports. So, it can access:

(a) 4 x 4 matrix of keys
(b) 8 x 8 matrix of keys
(c) 16 x 16 matrix of keys
(d) 2 x 2 matrix of keys
(e) 32 x 32 matrix of keys
Choose the most appropriate answer from the options given below:

Correct Answer: A. (b) only

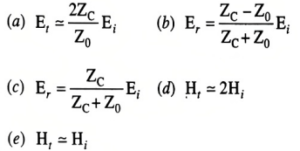
55. For an EM wave ray traversing from air, medium 1 to a conducting Medium 2. Following statements are given:

Which of the above are correct?
Choose the most appropriate answer from the options given below:

Correct Answer: A. (a), (b), (d) only

56. A dielectric medium has a relative permittivity εᵣ = 6, for this the values of Index of Refraction and Phase velocity are given:

(a) η = 6
(b) η = 2.45
(c) Phase Velocity = 3 x 10⁸ rnls
(d) Phase Velocity = 1.22 x 10⁸ m/s
Choose the most appropriate answer from the options given below:

Correct Answer: C. (b), (d) only

57. A plane wave of frequency 2 GHz travelling in air parallel to a flat ground plane with H parallel to the ground plane losses 3 µW/m² into the ground plane having conductivity σ = 10⁷ Um, µᵣ = ∈ᵣ = 1. The following data is given:

(a) E = 3.89 V/m
(b) E = 8.98 V/m
(c) H = 10.33 mA/m
(d) H = 3.97 mA/m
Choose the most appropriate answer from the options given below:

Correct Answer: A. (a), (c) only

58. Which of the following statements about the matched filter in a cmmnunication receiver are correct?

(a) It may produce phase error if synchronization is improper
(b) Its impulse response depends on the signal shape
(c) The characteristics of the matched filter is matched with the transmitted data
(d) It produces inter symbol interference
(e) It measures the correlation between incoming received. message and its impulse response
Choose the correct answer from the options given below:

Correct Answer: A. (b), (c), (e) only

59. Which of the following statements are true?

(a) A parity check code can detect and correct single bit error
(b) The efficiency of Huffman code is linearly proportional to average entropy (c) Coding increases the channel bandwidth
(d) Coding increases the information rate
(e) A code dictionary with minimum distance 2 is not capable of error correction.
Choose the correct answer from the options given below:

Correct Answer: B. (b), (d), (e) only

60. Which of the following statements are correct?

(a) A given source will have maximum entropy if the message produced are statistically independent
(b) As the bandwidth approaches infinity, the channel capacity becomes zero.
(c) For binary transmission the baud rate is always equal to bit rate
(d) The mutual information of a channel with independent input and output is constant
(e) Nat is a unit of information
Choose the correct answer from the options given below:

Correct Answer: C. (c) and (e) only