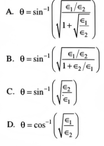
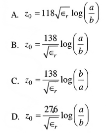
NTA UGC NET/JRF Exam, June -2021 (Electronic Science)Total Questions: 10021. What is the operation and result of the following instruction, given the register content shown in Figure 1.B. The content of IP is replaced with 023АН and program execution jumps to 2023АН.A. The content of IP is replaced with 023AH and program execution jumps to 2023BH.B. The content of IP is replaced with 023АН A-175 and program execution jumps to 2023АНD. The content of IP is replaced with 023АН and program execution jumps to 2023CH.Correct Answer: B. The content of IP is replaced with 023АН and program execution jumps to 2023АН.22. If the data segment register (DS) contains 4000H, what physical address will the instruction MOV, AL, [234BH] read?A. 634BOНB. 1BA50HC. 4235BHD. 4234BHCorrect Answer: D. 4234BH23. The three basic structure types used to write the algorithm for a program are sequencc, selection and repetition. Which of the following is NOT an advantage of using only these structures when writing the algorithm for a program?A. Algorithm is easy to debug.B. Algorithm is easy to understand.C. Algorithm has very low space complexity.D. Algorithm is easy to implement.Correct Answer: C. Algorithm has very low space complexity.24. Which is lowest priority interrupt of 8086 microprocessor?A. INTRB. NMIC. INTₙD. SINGLE-STEPCorrect Answer: D. SINGLE-STEP25. For parallel polarisation, for lossless dielectrics, the expression for Brewster angle for a wave traveling from medium 1 to the medium of refractive indices η₁ and η₂ respectively is:A.B.C.D.Correct Answer: B.26. Choose the correct answer.A. 15B. 16C. 24D. 6Correct Answer: C. 2427. Water flowing in x direction has a rate ofA. 18 liters/minuteB. 27 liters/minuteC. 3 liters/minuteD. 36 liters/minuteCorrect Answer: B. 27 liters/minute28. The value of transmission line impedance of a coaxial line of internal diameter 'a' and external diameter 'b' is given by the expression:A.B.C.D.Correct Answer: C.29. In a multimode fiber (step index), number of modes passing at an operating wavelength of 1300 nm are 1000, the refractive index of the core is 1.50 and that of the cladding is 1.48. The value of core diameter is:A. 100 nmB. 2.5 µmC. 125 µmD. 6.25 µmCorrect Answer: C. 125 µm30. In optical fibers, the Rayleigh scattering is proportional to:A.B.C.D.Correct Answer: D.Submit Quiz« Previous12345678910Next »