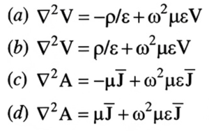
NTA UGC NET/JRF Exam, June -2021 (Electronic Science)Total Questions: 10051. A single bit comparator compares two numbers A and B and produces three outputs Y₁ (if A = B), Y₂ (if A > B) and Y₃(if A < B) as given below:Choose the correct answer from the options given below:A. (a) and (b) onlyB. (a), (b) and (c) onlyC. (a), (c) and (d) onlyD. (a) and (d) onlyCorrect Answer: D. (a) and (d) only52. For a JK Flip-flop:(a) When J = 0, K = 1, Qₙ₊₁ = 0 (b) When J = 1, K = 1, Qₙ₊₁ = 1 (c) When J = 1, K = 1, Qₙ₊₁= Q (d) When J = 1, K = 0, Qₙ₊₁ = 1 (e) When J = 1, K = 0, Qₙ₊₁ = 0 Choose the correct answer from the options given below:A. (a), (c) and (e) onlyB. (b) and (d) onlyC. (c) and (e) onlyD. (a), (c) and (d) onlyCorrect Answer: D. (a), (c) and (d) only53. Which of the following is/are NOT processor control instructions?(a) STC (b) CMC (c) JNO (d) NOP (e) CWD Choose the correct answer from the options given below:A. (a), (b) and (e) onlyB. (c) and (e) onlyC. (c) and (d) onlyD. (d) and (e) onlyCorrect Answer: B. (c) and (e) only54. Which of the following are the major steps which are taken to troubleshoot a microcomputer system? Assume all ICs are in the socket.(a) Identify the symptoms and make a careful visual and tactical inspection. (b) Check the power supply. (c) Switch OFF and ON the system. (d) Check the control signals such asChoose the correct answer from the options given below:A. (a) and (c) onlyB. (a), (b) and (d) onlyC. (a), (b) and (c) onlyD. (c) and (d) onlyCorrect Answer: B. (a), (b) and (d) only55. For small loop antennas:Choose the correct answer from the options given below:A. (a) and (d) onlyB. (b) and (d) onlyC. (b) and (c) onlyD. (b) and (e) onlyCorrect Answer: C. (b) and (c) only56. In 60-degrees PWM inverter power supply,(a) Power devices are made 'ON' for 1/3 of the cycle. (b) Power devices are made 'OFF' for 1/3 of the cycle. (c) The phase voltage = 0.57735 Vₛᵤₚₚₗᵧ. (d) Line voltage = Vₛᵤₚₚₗᵧ. (e) Line voltage < Vₛᵤₚₚₗᵧ. Choose the correct answer from the options given below:A. (b), (c) and (e) onlyB. (c) and (d) onlyC. (b), (c) and (d) onlyD. (a), (c) and (d) onlyCorrect Answer: D. (a), (c) and (d) only57. Broadside arrays have(a) Number of dipoles of unequal size (b) Number of dipoles equally spaced (c) Collinear dipoles (d) Dipoles in phase (e) Dipoles are 90° out of phase Choose the correct answer from the options given below:A. (a) and (b) onlyB. (a), (c) and (e) onlyC. (b), (c) and (e) onlyD. (b), (c) and (d) onlyCorrect Answer: D. (b), (c) and (d) only58. Following equations are given for retarded time-varying fields:Choose the correct answer from the options given below:A. (a) and (d) onlyB. (a) and (c) onlyC. (b) and (c) onlyD. (b) and (d) onlyCorrect Answer: B. (a) and (c) only59. Which of the following statements are correct?(a) DSB-SC modulation is well suited for point to point communication involving one transmitter and one receiver. (b) VSB modulation is a linear modulation scheme. (c) SSB is a non-linear modulation scheme. (d) FM is a linear modulation scheme. Choose the correct answer from the options given below:A. (a) and (b) onlyB. (a) and (c) onlyC. (b) and (c) onlyD. (b) and (d) onlyCorrect Answer: A. (a) and (b) only60. Which of the following statements are correct?(a) M-ary modulation scheme is preferable where the bandwidth requirement is important. (b) M-ary PSK system considers 'M' different phases in the range 'п/2'. (c) In M-ary modulation scheme, only coherent detection is possible. (d) M-ary QAM scheme uses 'm²' carrier signals having the same frequency. Choose the correct answer from the options given below:A. (a) and (b) onlyB. (a) and (c) onlyC. (b) and (c) onlyD. (c) and (d) onlyCorrect Answer: B. (a) and (c) onlySubmit Quiz« Previous12345678910Next »