NTA UGC NET/JRF Exam, June 2025 (Commerce)

Total Questions: 100

11. Match the LIST-I with LIST-II.

LIST-ILIST-II
A. Deduction of Tax at source on fees for professional and technical servicesI. Section 194 B
B. Deduction of Tax at source from income by way of rentII. Section 193
C. Deduction of Tax at source from winnings from lotteries or crossword puzzles, etc.III. Section 194-I
D. Deduction of Tax at source from interest on securitiesIV. Section 194-J

Choose the correct answer from the options given below:

Correct Answer: 3. A-IV, B-III, C-I, D-II
Solution:A. Deduction of Tax at source on fees for professional and technical services is governed by Section 194J of the Income Tаx Act, which mandates TDS on payments made for services such as consultancy, technical, professional, and royalty payments.
B. Deduction of Tax at source from income by way of rent falls under Section 1941, which requires TDS to be deducted on rental payments exceeding the prescribed limit for land, buildings, machinery, etc.
C. Deduction of Tax at source from winnings from lotteries, crossword puzzles, etc. is covered under Section 194B, which specifies TDS provisions on winnings exceeding ₹ 10,000 from lotteries, card games, betting, etc.
D. Deduction of Tax at source from interest on securities is governed by Section 193, which applies to interest payments on debentures, securities issued by companies, and government securities, with certain exemptions. Correct matching: A-IV (194J), B-III (1941), C-I (194B), D-II (193).

12. Which of the following statements are correct with regard to mathematical properties of standard deviation?

Correct Answer: 1. B and C only
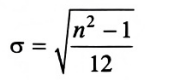
Solution:Statement B is correct because Standard Deviation is independent of change of origin. Adding or subtracting a constant to all data points does not affect the dispersion, so standard deviation remains unchanged. However, it is not independent of change of scale; multiplying or dividing data points by a constant will proportionally affect the standard deviation. Statement C is also correct. The Standard Deviation of the first n natural numbers is given by the formula:This is a standard result derived from statistical properties of natural numbers.
Statement A is incorrect because it wrongly claims independence from both origin and scale, while standard deviation is not scale-independent. Statement D is wrong because it mentions a denominator of 6, which is incorrect; it should be 12.
Statement E is incorrect because for moderately skewed distributions, Mean Deviation = 0.8 × Standard Deviation, not the reverse. Thus, only statements B and C are correct.

13. Arrange the following steps of incorporation of a new Limited Liability Partnership in proper sequence.

A. Reserve LLP Name
B. Preparation of Documents for Incorporation of LLP
C. Procure Digital Signature Certificate
D. LLP incorporation and DIN Application and apply for PAN and TAN E. Drafting and filling LLP Agreement
Choose the correct answer from the options given below:

Correct Answer: 3. C. A, B. D, E
Solution:Correct sequence of LLP Incorporation Process:
C. Procure Digital Signature Certificate (DSC) - This is required for filing forms electronically.
A. Reserve LLP Name - Name approval through RUN-LLP service.
B. Preparation of Documents for Incorporation of LLP - Including consent, affidavits, etc.
D. LLP Incorporation and DIN Application and apply for PAN and TAN - Filing of Form FiLLIP.
E. Drafting and Filing LLP Agreement - Mandatory within 30 days of incorporation. Correct sequence: C → А → B → D → Е.

14. A company has 10%, 20 lakh debentures. The EBIT of the company is 5,00,000 and the equity capitalisation rate is 16%. Calculate overall cost of capital.

Correct Answer: 3. 12.9%
Solution:

15. Symbols, Icons, Rituals and values are the manifestations of:

Correct Answer: 2. Culture
Solution:Symbols, Icons, Rituals, and Values are core elements of Culture. Culture represents the shared patterns of behaviour, beliefs, and values that characterize a society or group.

16. What refer to 'L' in the PESTLE Framework?

Correct Answer: 2. Legal
Solution:In the PESTLE Framework, the letter 'L' stands for Legal. PESTLE is an analytical tool used to evaluate external macro-environmental factors affecting an organization.
  • P- Political
  • E - Economic
  • S- Social
  • T- Technological
  • L - Legal
  • E- Environmental

Thus, 'L' refers to Legal aspects like laws, regulations, compliance policies, etc.

17. Match the LIST-I with LIST-II.

Choose the correct answer from the options given below:

Correct Answer: 2. A-IV, B-III, C-II D-I
Solution:

18. Match the LIST-I with LIST-II.

LIST-ILIST-II
A. Deduction of Tax at source on fees for professional and technical servicesI. Section 194 B
B. Deduction of Tax at source from income by way of rentII. Section 193
C. Deduction of Tax at source from winnings from lotteries or crossword puzzles, etc.III. Section 194-I
D. Deduction of Tax at source from interest on securitiesIV. Section 194-J

Choose the correct answer from the options given below:

Correct Answer: 3. A-IV, B-II, C-III, D-I
Solution:Matching Product Life Cycle stages with types of customers:
A. Introduction Stage - Customers: Innovators
B. Growth Stage - Customers: Early Adopters
C. Maturity Stage - Customers: Middle Majority
D. Obsoletion Stage - Customers: Laggards Correct matching sequence: A-IV, B-II, C-III, D-I.

19. Geographical Price differentials include which of the following?

A. F.O.B Factory Pricing
B. Zone Pricing
C. Loss Leader Pricing
D. Postage Stamp Pricing
E. Basing Point Pricing
Choose the correct answer from the options given below:

Correct Answer: 3. A, B, D and E only
Solution:Geographical Pricing differentials include:
A. F.O.B Factory Pricing - Buyer pays transport from factory.
B. Zone Pricing - Uniform price for buyers within a geographical zone.
D. Postage Stamp Pricing - Uniform delivery price across regions.
E. Basing Point Pricing - Freight is calculated from a fixed location (basing point).
C. Loss Leader Pricing is not a geographical price differential; it's a promotional strategy. Thus, correct set: A, B, D and E only.

20. Match the LIST-I with LIST-II.

LIST-I (Components commonly present in reports)LIST-II (Contents)
A. Prefatory InformationI. Executive Summary
B. Introductory InformationII. Glossary
C. Main Research BodyIII. Problem Definition
D. Supplementary InformationIV. Research Design

Choose the correct answer from the options given below:

Correct Answer: 4. A-I, B-III, C-IV, D-II
Solution:Matching report components with their contents:
A. Prefatory Information - Contains Executive Summary → Matches I.
B. Introductory Information - Contains Problem Definition Matches III.
C. Main Research Body - Contains Research Design → Matches IV.
D. Supplementary Information - Contains Glossary, Appendices, etc. Matches II.
Thus, correct matching: A-I, B-III, C-IV, D-II.