NTA UGC NET/JRF Exam, September-2022 (Electronic Science)

Total Questions: 100

41. The pull up to pull down ratio for an n mos inverter driven by another n mos inverter can be evaluated from:

Choose the correct answer from the options given below:

Correct Answer: D. (a), (c) only

42. The layers of NMOS involves a subset of layers. For NMOS we require:

(a) Contact, (Black or Brown)
(b) Polysilicon (Green)
(c) Metal (Blue)
(d) Implant (Yellow)
Choose the correct answer from the options given below:

Correct Answer: C. (a), (c), (d) only

43. The layout of NMOS involves a subset of the layers and features set out. For NMOS we require:

(a) N-diffusion (Green)
(b) Implant (Yellow)
(c) Polysilicon (Red)
(d) N-diffusion (Blue)
Choose the correct answer from the options given below:

Correct Answer: A. (a), (b), (c) only

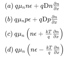
44. The electron current density in semiconductor devices is given as:

Choose the correct answer from the options given below:

Correct Answer: B. (a) and (c) only

45. The number of occupied conduction band levels in intrinsic semiconductor is:

Choose the correct answer from the options given below:

Correct Answer: A. (a) and (b) only

46. Read the following statements regarding transfer function.

(a) The transfer function is used to describe networks which have only two ports.
(b) The transfer function is used to describe networks which have atleast two ports.
(c) The ratio of transforms of one current to another current is called current transfer function.
(d) The ratio of transforms of one voltage to another current is called transfer admittance function.
Choose the correct answer from the options given below:

Correct Answer: B. (b) and (c) only

47. Read the following statements regarding two port networks.

(a) The condition of reciprocity and symmetry for a two-port network with 'g' parameter representation can be deduced from the interrelationship of 'h' and 'g' parameters.
(b) The condition of reciprocity for 'h' parameter representation leads to the condition of reciprocity for 'g' parameters representation as g₁₂ = g₂₁.
(c) The condition of symmetry in 'h' parameters representation never leads to the condition of symmetry in 'g' parameters representation.
(d) The symmetry condition in 'h' and 'g parameter representation can be deduced by putting h₁₁ = g₁₁.
Choose the correct answer from the options given below:

Correct Answer: A. (a) and (b) only

48. Which of the following statements are correct?

(a) An Instrumentation Amplifier must have low dc offset as well as low output impedance.
(b) A Voltage to current converter is used for LED and Zener diode testing.
(c) Current to voltage converter is also called transconductance amplifier.
(d) A Sample and hold circuit is used in digital to analog interfacing.
(e) A precision diode may never be used as peak value detector.
Choose the correct answer from the options given below:

Correct Answer: A. (a) and (b) only

49. Which of the following statements are correct?

(a) Zero crossing detector is a comparator with V ref =0 (b) An stable multivibrator is used to generate pulses of desired duration. (c) The phase shift and wien bridge are commonly used sinewave oscillators for radio frequency. (d) The frequency of a square wave generator is independant of trigger levels of comparator. (e) A Triangular wave can be generated by integrating a square wave. Choose the correct answer from the options given below:

Correct Answer: C. (a) and (e) only

50. Which of the following statements are correct?

(a) In a boost regulator, the output voltage is filtered with choke-input filter.
(b) A capacitor may be needed in a discrete voltage regulator to prevent oscillations.
(c) Thermal shutdown occurs in an IC regulator if internal temperature is too high.
(d) An increase of line voltage into a power supply produces an increase in load voltage.
(e) A series regulator is an example of a switching regulator.
Choose the correct answer from the options given below:

Correct Answer: B. (b), (c) and (d) only