NTA UGC NET/JRF Re-Exam, June-2024 Economics

Total Questions: 100

61. Which of the following is currect global measurement of the extrement poverty line?

Correct Answer: (c) $ 2.15 a day
Solution:

The current international extreme poverty line is $2.15 per person per day, based on 2017 prices. This means that anyone living or less than $ 2.15 a day is in extreme poverty.

62. Which of the following combinations of theorems and their subjects are correctly matched?

(A) Modigliani Miller theorem : Price of gtoods and rèal return to factor
(B) Dorfman- Steiner theorem : Social choice
(C) Arrow's impossibility theorem: Social choice
(D) Stolper - Samuelson theorem : Capital structure
(E) Fishers separation theorem : Profit maximization motivation
Choose the correct answer from the options given below:

Correct Answer: (c) (A), (C), (D) only
Solution:

(i) Dorfman- steiner theorem- Advertisement expenditure.
(ii) Arrow's impossibility theorem social choice.
(iii) Fishers separation theorem : Profit maximisation motivation.

63. Among the following which is/are attempt of economic integration among developing countries?

Correct Answer: (d) All of the above
Solution:

Economic integration among developing countries is the process of uniflying economic policies between countries, usually by reducing or removing trade barriers and coordinating monetary and fiscal policies.

The goal is to increase trade, reduce costs for consumers and producers, and improve the overall economy.

64. Consider the following sustainable development goals and their objectives and say which ones are correctly matched?

(A) Goal 7: Affordable and clean energy
(B) Goal 10: Climate action
(C) Goal 13 Reduced inequality
(D) Goal 14 : Life below water
(E) Goal 15 : Life on land
Choose the correct answer from the options given below:

Correct Answer: (d) (A), (D), (E) only
Solution:

Goal 7 - Affordable and clean energy.
Goal 14 - Life below water
Goal 15 - Life on land.
Goal 13 - Action on climate.

65. Arrange the following in chronological order starting form earliest to latest:

(A) A. W. Phillips: The Phillips Curve
(B) J.M. Keynes : General Theory Employment, of Interest and Money
(C) Adam Smith: Theory of Growth
(D) John E Muth: Rational Expectations Approach
(E) Robert M. Solow Growth Modal
Choose the correct answer from the options given below:

Correct Answer: (b) (C), (B), (E), (A), (D)
Solution:
IndexEconomist and Theory/WorkYear
i.Adam Smith : theory of Growth1776
ii.J M Keynes : General Theory of Employment, Interest and MoneyFebruary 1936
iii.Robert M. Solow : Growth Model1956
iv.A.W. Phillips : The Phillips Curve1958
v.John F. Muth : Rational Expectations Approach1961

66. Which state scored highest to secure top-most rank in the 'State Energy Effiency Index 2023' released by NITI Aayog?

Correct Answer: (d) Karnataka
Solution:

Karnataka Scored highest to secure top-most rank in the state energy efficiency index 2023 released by NITI Aayog.

67. Which among following committees, was set up for Banking sector reforms in India?

(A) Jalan Committee
(B) Ghosh Committee
(C) Saraf Committee
(D) Gokaran Committee
(E) Tarapore Committee
Choose the correct answer from the options given below:

Correct Answer: (d) (A), (D), (C) only
Solution:

Following committees was set up for Banking sector reforms in India
(i) Jalan Committee
(ii) Gokaran Committee
(iii) Saraf Committee

68. The secular deterioration of terms of trade for low developed countries has been explained by:

(A) J.S. Mill
(B) H.W. Singer
(C) Adam Smith
(D) Raul Prebisch
(E) Jagdish Bhagwati
Choose the correct answer from the options given below:

Correct Answer: (a) (B), (D), (E) only
Solution:

The secular deterioration of terms of trade for low developed countries has been explained countries has been explained by H.W. Singer, Raul Prebisch, Jagdish Bhagwati.

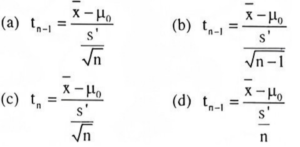
69. To test Hₒ: μ = μₒ when both μ, and σ are unknown, the relevant test statistic is:

Correct Answer: (a)
Solution:

To test Hₒ : μ = μₒ
When both μ & σ are unknown the relevant test statistic is

70. Under the Green Climate Found of UNFCCC, what ratio of financial allocation between 'Adaptation' and 'Mitigation' activities is aimed?

Correct Answer: (c) 50:50
Solution:

Under the green climate found of UNFCCC, 50:50 ratio of financial allocation between. Adaptation' and 'Mitigation' activities is aimed.

GCF is mandated to invest 50% of its resources to mitigation and 50% to adaptation in grant equivalent.