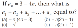
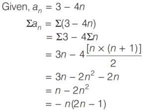
NUMBER SYSTEM (CDS)Total Questions: 10191. Solve the following equation [2014 (II) Evening Shift ](a)(b)(c)(d)Correct Answer: (b)Solution:92. How many pairs of X and Y are possible in the number 763X4Y 2, if the number is divisible by 9? [2014 (II) Evening Shift ](a) 8(b) 9(c) 10(d) 11Correct Answer: (d) 11Solution:We know that, any number is divisible by 9, if sum of all the digits is divisible by 9. Given number is 763X 4Y2.93. What is the remainder when 4¹⁰¹² is divided by 7? [2014 (II) Evening Shift ](a) 1(b) 2(c) 3(d) 4Correct Answer: (d) 4Solution:94. What is the remainder when (1235 × 4523 × 2451) is divided by 12? [2014 (II) Evening Shift ](a) 1(b) 3(c) 5(d) 7Correct Answer: (b) 3Solution:Let E = (1235 × 4523 × 2451)95. p, q and r are prime numbers such that p < q < r < 13. In how many cases would (p + q + r) also be a prime number? [2014 (II) Evening Shift ](a) 1(b) 2(c) 3(d) None of the aboveCorrect Answer: (b) 2Solution:The prime numbers less than 13 are 2, 3, 5, 7, 11.96. What is the remainder when (17²³ + 23²³ + 29²³) is divided by 23? [2014 (II) Evening Shift ](a) 0(b) 1(c) 2(d) 3Correct Answer: (a) 0Solution:97. If n is a whole number greater than 1, then n² (n²− 1) is always divisible by [2014 (I) Morning Shift ](a) 12(b) 24(c) 48(d) 60Correct Answer: (a) 12Solution:If n is greater than 1, then (n² − 1) is always divisible by 12.98. Consider the following statements [2014 (I) Morning Shift ]I. No integer of the form 4k + 3, where k an integer, can be expressed as the sum of two squares. II. Square of an odd integer can expressed in the form 8k + 1, where k is an integer.Which of the above statement(s) is/are correct?(a) Only I(b) Only II(c) Both I and II(d) Neither I nor IICorrect Answer: (a) Only ISolution:I. f (k) = 4k + 399. The difference of two consecutive cubes [2014 (I) Morning Shift ](a) is odd or even(b) is never divisible by 2(c) is always even(d) None of the aboveCorrect Answer: (b) is never divisible by 2Solution:The difference of two consecutive cubes is never divisible by 2.100. The product of four consecutive natural numbers plus one is [2014 (I) Morning Shift ](a) a non-square(b) always sum of two square numbers(c) a square(d) None of the aboveCorrect Answer: (c) a squareSolution:Product of four consecutive numbers plus one is always a square.Submit Quiz« Previous1234567891011Next »