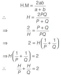
NUMBER SYSTEM (CDS)Total Questions: 10121. A five-digit number XY235 is divisible by 3 where X and Y are digits satisfying X + Y ≤ 5. What is the number of possible pairs of values of (X, Y) ? [2018 (II) Evening Shift ](a) 5(b) 6(c) 7(d) 9Correct Answer: (c) 7Solution:Given, XY235 is divisible by 3 and X + Y ≤ 522. The number of divisors of the number 38808 exclusive of the divisors 1 and itself, is [2018 (II) Evening Shift ](a) 74(b) 72(c) 70(d) 68Correct Answer: (c) 70Solution:23. If the sum of the squares of three consecutive natural numbers is 110, then the sum of their cubes is [2018 (II) Evening Shift ](a) 625(b) 654(c) 684(d) 725Correct Answer: (c) 684Solution:Let the three consecutive natural numbers be (x - 1), x, (x + 1)24. Consider the following statements in respect of three 3-digit numbers XYZ, YZX and ZXY: [2018 (II) Evening Shift ]1. The sum of the numbers is not divisible by (X + Y + Z) . 2. The sum of the numbers is divisible by 111.Which of the above statements is / are correct?(a) 1 only(b) 2 only(c) Both 1 and 2(d) Neither 1 nor 2Correct Answer: (b) 2 onlySolution:We have, 3-digits numbers are25. The number of all pairs (m, n) where m and n are positive integers, such that [2018 (II) Evening Shift ](a) 6(b) 5(c) 4(d) 2Correct Answer: (c) 4Solution: 26. Solve the following equation [2018 (II) Evening Shift ](a)(b)(c)(d)Correct Answer: (b)Solution:We know that, harmonic mean of a and b is27. 5¹⁷ + 5¹⁸ + 5¹⁹ + 5²⁰ is divisible by [2018 (I) Morning Shift ](a) 7(b) 9(c) 11(d) 13Correct Answer: (d) 13Solution:5¹⁷ + 5¹⁸ + 5¹⁹ + 5²⁰28. Which one of the following is correct? [2018 (I) Morning Shift ](a) Decimal expansion of a rational number is terminating(b) Decimal expansion of a rational number is non-terminating(c) Decimal expansion of an irrational number is terminating(d) Decimal expansion of an irrational number is non-terminating and non repeatingCorrect Answer: (d) Decimal expansion of an irrational number is non-terminating and non repeatingSolution:Decimal expansion of an irrational number is non-terminating and non repeating.29. The smallest integer with 4-digits which is a perfect square is ? [2018 (I) Morning Shift ](a) 1000(b) 1024(c) 1089(d) None of theseCorrect Answer: (b) 1024Solution:Square of any number last digit must be, 0, 1, 4, 5, 6 or 9. Here, 1024 is only possible square. Hence, smallest four digit number which is a perfect square is 1024.30. The age of a woman is a two-digit integer. On reversing this integer, the new integer is the age of her husband who is elder to her. The difference between their ages is one-eleventh of their sum. What is the difference between their ages ? [2018 (I) Morning Shift ](a) 8 year(b) 9 year(c) 10 year(d) 11 yearCorrect Answer: (b) 9 yearSolution:Let the age of woman = (10x + y) yearSubmit Quiz« Previous1234567891011Next »