Part – B (General Studies) NDA/NA SOLVED PAPER 2018 (I) (51 to 100)

Total Questions: 50

1. Which one of the following statements is correct?

Correct Answer: (a) Any energy transfer that does not involve temperature difference in some way is not heat.
Solution:

Practically, all the bodies around us either release or absorb energy often in the form of heat. The form of energy which is exchanged among various bodies or system on account of temperature difference is defined as heat. On heating the matter, the energy of atoms increases and hence the average distance between them increases.
This results in thermal expansion. Solids can expand in one dimension, two dimensions and three dimensions while liquid and gases usually expand in volume.

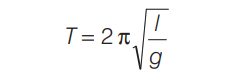
2. If T is the time period of an oscillating pendulum, which one of the following statements is NOT correct?

Correct Answer: (a) The motion repeats after time T only once
Solution:

Time-period (T) is the time taken by the particle to complete one oscillation. Time-period of the simple pendulum is given by
It is clear that the time period is independent of the mass of the pendulum. This formula is valid only when radius of point mass of pendulum is negligible compared to length of pendulum.
Here, motion of pendulum
repeats itself after a fixed interval i.e it remains same only for small angular displacements (Q). Hence, it is incorrect to say that this motion repeats after time T only once.

3. If an object moves with constant velocity then which one of the following statements is NOT correct?

Correct Answer: (d) Its displacement increases linearly with time
Solution:

Whenever an object moves with constant velocity, the motion is always in form of straight line, which is parallel to the x-axis. As velocity remains same, hence acceleration of the object is zero.
Also the speed of the object changes due to change in displacement so than in distance. Hence, option (d) is incorrect because it is not necessary displacement increases linearly. It decreases linearly for constant velocity.

4. An object is moving, with uniform acceleration a. Its initial velocity is u and after time t its velocity is v. The equation of its motion is v = u + at. The velocity (along y-axis) time (along x-axis) graph shall be a straight line:

Correct Answer: (c) with y-intercept u
Solution:

From the graph for the equation of its motion.

The object has an initial velocity u at point A and then its velocity changes at a uniform rate from A to B in time t. In other words, there is a uniform acceleration ‘a’ from A to Band after timet its final velocity becomes ‘ v’ equal to B in the graph. Hence, the slope of a velocity-time graph is equal to acceleration. Thus, we can say that the velocity time graph for the equation,
v = u + at will be straight line having slope equal to acceleration a with y intercept u.
∴ Option (c) is correct.

5. What is the net force experienced by a bar magnet placed in a uniform magnetic field?

Correct Answer: (a) Zero
Solution:

6. Which one of the following has maximum inertia?

Correct Answer: (d) A cricket ball
Solution:

Inertia means resistance or opposition offered by the body to change its state. Mass of a body is the measurement of its inertia. A body with greater mass shows greater inertia, i.e., it is more difficult to change its state of rest or uniform motion as compared to that of a body having small mass.
Hence, in the given option a cricket ball has maximum mass, so it has maximum inertia.

7. Which one of the following is the value of 1 kWh of energy converted into joules?

Correct Answer: (b) 3.6 × 10⁶ J
Solution:

8. Which one of the following statements about gravitational force is NOT correct?

Correct Answer: (d) It is same for all pairs of bodies in our universe
Solution:

Gravitational force is defined as a non-contact force of attraction between any two bodies in universe (no matter how far the bodies are). It is experienced by all bodies in the universe.
The celestial bodies experienced these forces, but it is not same for all pairs of bodies in our universe.

9. Whether an object will float or sink in a liquid, depends on:

Correct Answer: (c) difference in the densities of the object and liquid
Solution:

10. Which one of the, following devices is non-ohmic?

Correct Answer: (c) Semi conductor diode
Solution:

According to Ohm’s law, the electric current flowing through a conductor is directly proportional to the potential difference applied across its ends, provided the physical condition (such as temperature) remain unchanged. Hence, the device which follows Ohm’s law for all voltage across it is called as an ohmic device.
For example, a wire rheostat conducting copper coil, electric heating coil, etc. The device that does not follow Ohm’s law is known as non-ohmic device. For example, Semi conductor diode.