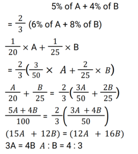
Percentage (Railway Maths) (Part – V)Total Questions: 5031. P gets 360 marks out of a total score of 500. Marks of P are 10% less than Q's score. Q got 25% more than R, and R got 20% less than S. What is the percentage marks of S ? [RRB JE 23/05/2019 (Afternoon) ](a) 72%(b) 68%(c) 75%(d) 80%Correct Answer: (d) 80%Solution:32. If (25/8) % of 128 = x , find the value of 'x'. [RRB JE 23/05/2019 (Evening) ](a) 4(b) 12(c) 8(d) 3Correct Answer: (a) 4Solution:33. In a survey conducted in a locality, It was found that 50% read newspaper A, 40% read newspaper B, and 20 % read neither A nor B. If the number of persons who read both A and B is 500, then how many persons were surveyed? [RRB JE 24/05/2019 (Evening) ](a) 7000(b) 3000(c) 5000(d) 4500Correct Answer: (c) 5000Solution:34. When the number 42 is misread as 24, what is the percentage error? [RRB JE 25/05/2019 (Afternoon)](a) 18%(b) 42.86%(c) 55.34%(d) 28%Correct Answer: (b) 42.86%Solution:35. The length of a rectangle is halved, and its breadth is tripled. What is the percentage change in its area? [RRB JE 26/05/2019 (Morning)](a) 75% decrease(b) 25% increase(c) 50% decrease(d) 50% increaseCorrect Answer: (d) 50% increaseSolution:36. What is the percentage form of the ratio 1 : 8? [RRB JE 28/05/2019 (Afternoon)](a) 80%(b) 6.25%(c) 12.5%(d) 8%Correct Answer: (c) 12.5%Solution:1/8 × 100 = 12.5 %37. If 5/8 = x%, what is the value of x? [RRB JE 28/05/2019 (Afternoon)](a) 62.5(b) 65.7(c) 67.5(d) 40Correct Answer: (a) 62.5Solution:5/8 = x/100 ⇒ x = 62.5 %38. The salaries of Anand and Nirmal are in the ratio of 9 : 4. When Anand's salary is increased by 15%, it becomes Rs. 5175. What is the salary of Nirmal? [RRB JE 29/05/2019 (Afternoon)](a) Rs. 2000(b) Rs. 4000(c) Rs. 5000(d) Rs. 4500Correct Answer: (a) Rs. 2000Solution:39. Arun's income is 150% of Bala's income. Income of Chandru is 120% of the income of Arun. If the total income of Arun, Bala and Chandru is Rs. 86000, then what is the income of Chandru? [RRB JE 30/05/2019 (Morning)](a) Rs. 36000(b) Rs. 32000(c) Rs. 30000(d) Rs. 34000Correct Answer: (a) Rs. 36000Solution:40. If 5% of A + 4% of B = 2/3 (6 % of A + B % of B), then what is A : B? [RRB JE 30/05/2019 (Evening) ](a) 1 : 1(b) 4 : 3(c) 1 : 2(d) 5 : 4Correct Answer: (b) 4 : 3Solution:Submit Quiz« Previous12345Next »