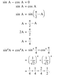
PGT Commerce Level-3 (HTEТ), Exam 2018Total Questions: 15071. If sin A - cos A = 0 then the value of sin⁴A + cos⁴A is:A. 0B. 1C. 1/2D. 3/4Correct Answer: C. 1/2Solution:72. Answer the following question.A. 10 kmphB. 12 kmphC. 13 kmphD. 15 kmphCorrect Answer: A. 10 kmphSolution:73. If in a code language 'pit dar na' means "you are good", 'dar tok pa' means "good and bad", 'tim na tok' means "they are bad". In the same language which word stands for "they"?A. timB. tokC. naD. pitCorrect Answer: A. timSolution:74. If 'South-East' is called 'East', North-West is called 'West', 'South-West' is called 'South' and so on, what will 'North' be called?A. SouthB. North-WestC. North-EastD. NorthCorrect Answer: B. North-West75. A three digit number 4p3 is added to 984 to get a four digit number 13q7. If 13q7 is divisible by 11, then the value of (q- p) will be:A. 8B. 9C. 7D. 11Correct Answer: A. 876. Select the correct combination of mathematical signs to replace '*' signs and to balance the given equation:9 * 7 * 2 * 3 * 10A. × ÷ + =B. − + × =C. + − × =D. × + ÷ −Correct Answer: C. + − × =77. If P is brother of Q, R is father of P, S is brother of T. T is daughter of Q, then paternal uncle of S is:A. RB. QC. TD. PCorrect Answer: D. PSolution:78. A is the father of C and D is the son of B. E is the brother of A. If C is the sister of D, how is B related to E?A. DaughterB. Brother-in-lawC. HusbandD. Sister-in-lawCorrect Answer: D. Sister-in-law79. In a certain code, ‘CERTAIN’ is coded as ‘XVIGZRM’, ‘SEQUENCE’ is coded as ‘HVJFVMXV’, then how would ‘MUNDANE’ be coded?A. NFMWZMXB. NFMWMZXC. NFMWZMVD. NFWMZMVCorrect Answer: C. NFMWZMV80. The least perfect square number which is exactly divisible by:10, 12, 15 and 18A. 876B. 900C. 981D. 1024Correct Answer: B. 900Submit Quiz« Previous123456789101112131415Next »