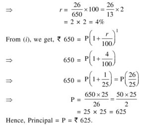
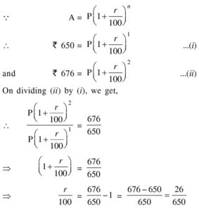
PGT Commerce Level-3 (HTEТ), Exam 2019Total Questions: 15071. The curved surface area of a cylinder is 264 m² and its volume is 924 m³, then what is the ratio between its diameter and height?A. 7 : 6B. 6 : 7C. 3 : 7D. 7 : 3Correct Answer: D. 7 : 3Solution:72. What principal on compound interest has their amount ₹ 650 in one year and ₹ 676 in two years?A. ₹ 520B. ₹ 572C. ₹ 600D. ₹ 625Correct Answer: D. ₹ 625Solution:73. A principal lends on simple interest for two years. If rate of interest more than 1% the simple interest increased by ₹ 240. Find out the principal:A. ₹ 5,000B. ₹ 6000C. ₹ 8,000D. ₹ 12,000Correct Answer: D. ₹ 12,000Solution:74. At the speed of 60 km per hour, 125 meter long train crosses a bridge in 30 seconds. What is the length of bridge?A. 375 meterВ. 225 meterС. 125 meterD. 250 meterCorrect Answer: A. 375 meterSolution:75. The average age of three boys is 16 years and the ratio of their ages is 4: 5: 7, find out the age of smallest boy.A. 8 yearsB. 9 yearsC. 12 yearsD. 16 yearsCorrect Answer: C. 12 yearsSolution:76. In an examination 60% of students passed in English and 70% students passed in Maths, 20% students failed in both subjects, 2500 students passed in both subjects. Find out total number of students.A. 3000B. 3500C. 4000D. 5000Correct Answer: D. 5000Solution:77. A is elder to B while C and D are elder to E. E lies between A and C and C is elder to B, then which of the following statements is necessarily true?A. A is elder to СB. C is elder to DC. D is elder to СD. E is elder to ВCorrect Answer: D. E is elder to ВSolution:78. Bottom surface of a cube is empty. X is marked between A and B. Y marked on the left of A. Then Z marked on which surface of cube?A. bottom sideB. up sideC. in front sideD. in back sideCorrect Answer: B. up sideSolution:79. A is the brother of B and C. D is the mother of C. E is the father of A. Then which statement is false?A. B is son of EB. E is father of ВC. E is husband of DD. A is son of DCorrect Answer: A. B is son of ESolution:80. In English alphabet, how many letters are unchanged in mirror image?A. 8B. 9C. 12D. 11Correct Answer: D. 11Solution:In English Alphabet, Letters unchanged in mirror image are: A, H, I, M, O, T, U, V, W, X, Y Hence, Number of letters = 11.Submit Quiz« Previous123456789101112131415Next »