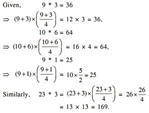
PGT Commerce Level-3 (HTEТ), Exam 2021Total Questions: 11061. If the Independence Day in 1988 was celebrated on Wednesday. On what day was it celebrated in the year 1989?A. MondayB. TuesdayC. ThursdayD. FridayCorrect Answer: C. ThursdaySolution:62. Vijay walks 10 km towards North, from there, he walks 6 km towards South, then he walks 3 km towards East. How far and in which direction is he with reference to his starting point?A. 5 km WestB. 5 km North-EastC. 7 km EastD. 7 km WestCorrect Answer: B. 5 km North-EastSolution: 63. In a row of girls, Shilpa is 8th from the left and Reena is 17th from the right, if they interchange their positions, Shilpa becomes 14th from the left. How many girls are there in a row?A. 27B. 29C. 32D. 30Correct Answer: D. 30Solution:64. In a certain pattern, if 9 * 3 = 36, 10 * 6 = 64, 9* 1 = 25, then in the same pattern what is the value of 23 * 3 =?A. 169B. 52C. 32D. 576Correct Answer: A. 169Solution:65. In a certain code MONKEY is written as XDJMNL. How is TIGER written in that code?A. SDFHSB. SHFDQC. QDFHSD. UJHFSCorrect Answer: C. QDFHSSolution:66. If A means 'plus', B means 'minus', C means 'divide by', D means 'multiply'. Then what will be simplified value of18 A 12 C 6 D 2 B 5 = ?A. 25B. 27C. 15D. 17Correct Answer: D. 17Solution:67. If 7 carpenters can make 7 chairs in 8 hours, how many hours will 70 carpenters take to make 70 chairs?A. 8 hoursB. 560 hoursC. 56 hoursD. 70 hoursCorrect Answer: A. 8 hoursSolution:68. Which number must be added to each term of the ratio 2: 5, so that it may equal to 5: 6?A. 12B. 11C. 13D. 14Correct Answer: C. 13Solution:69. A sum of ₹ 10,000 deposited at compound interest becomes double after 5 years. After 20 years the amount will be:A. ₹ 40,000B. ₹ 60,000C. ₹ 80,000D. ₹ 1,60,000Correct Answer: D. ₹ 1,60,000Solution: 70. A sold a watch to B at a gain of 10% and B sold it to C at a loss of 10%. If C paid ₹ 990 for it, then how much amount paid by A?A. ₹ 900B. ₹ 1,000C. ₹ 1,200D. ₹ 950Correct Answer: B. ₹ 1,000Solution:Submit Quiz« Previous1234567891011Next »