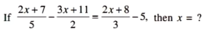
PGT Computer Science (Level-3), (HTET Exam 2019)Total Questions: 15061. If English alphabets are written in opposite order, then which is the 8th letter of the 19th letter from left side?A. TB. PC. QD. RCorrect Answer: B. PSolution:62. Find the Odd one out from given options:A. 171B. 131C. 161D. 181Correct Answer: A. 17163. Write the following words in the order given in the dictionary:1. Critical 2. Criterion 3. Crisis 4. CrispA. 3, 4, 2, 1B. 1, 3, 4, 2C. 3, 4, 1, 2D. 4, 3, 1, 2Correct Answer: A. 3, 4, 2, 1Solution:The order in the dictionary: Crisis → Crisp → Criterion → Critical.64. In the word 'PROPERTY' how many such pairs of letter exist, which has the same number of letters between them here as what they have between them in their order in English Alphabet?A. 0B. 1C. 4D. 3Correct Answer: D. 3Solution:65. Find the wrong term in the following series:1CV, 5FU, 9IT, 15LS, 170RA. 5FUB. 9ITC. 15LSD. 17ORCorrect Answer: C. 15LSSolution:66. Two persons A and B stand in front of each other in morning. If A's shadow's lies in the left side of 'A', then in which direction B's facing?A. 34%B. 40%C. 25%D. 30%Correct Answer: A. 34%Solution:67. A businessman gives 15% discount on the list price of his items. How much price he should mark on his items to the cost price to get 19% profit?A. 34%B. 40%C. 25%D. 30%Correct Answer: B. 40%Solution:68. After 5 years, father's age will be three times of his son's age. 5 years ago, father's age was 7 times of his son's age. The present age of the father is:A. 40 yearsB. 30 yearsC. 50 yearsD. 45 yearsCorrect Answer: A. 40 yearsSolution:69. If the selling price of 6 pens is equal to the cost price of 8 pens, then profit/loss in percentage is:A. 25% profitВ. 25% lossC. 33⅓ % lossD. 33⅓ % profitCorrect Answer: D. 33⅓ % profitSolution:70. Solve the equations?A. 1B.-1C. 2D. -2Correct Answer: B.-1Solution:Submit Quiz« Previous123456789101112131415Next »