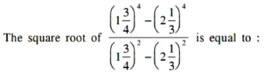
PGT Computer Science (Level-3), (HTET Exam 2020)Total Questions: 15071. If Shyam writes down all the integers from 1 to 100, then how many times does he write 3 ?A. 19B. 11C. 20D. 21Correct Answer: C. 20Solution:Clearly, from 1 to 100, there are ten numbers with 3 as the unit's digit: 3, 13, 23, 33, 43, 53, 63, 73, 83, 93 and ten numbers with 3 as the ten's digit: 30, 31, 32, 33, 34, 35, 36, 37, 38, 39. So, required number = 10 + 10 = 20.72. A is elder to B while C and D are elder to E. E lies between A and C and Cis elder to B. then which of the following statements is necessarily true?A. A is elder to С.B. C is elder to D.C. D is elder to С.D. E is elder to В.Correct Answer: D. E is elder to В.Solution:73. Among M, T, R, K and D, each having a different height, M is shorter only from T and D is taller only from K. Who will be the third tallest person among them?A. TB. DC. MD. RCorrect Answer: D. RSolution:Given, M is shorter only from T i.e., T > M and D is taller only from K i.e., D > K Hence, T>M > R > D> K Hence, R be the third tallest person among them.74. Solve the equations :A. 2¹¹⁄₁₂B. 2¹⁄₁₂C. 3¹¹⁄₁₂D. 3¹⁄₁₂Correct Answer: A. 2¹¹⁄₁₂Solution:75. After 5 years, father's age will be three times of his son's age. 5 years ago, father's age was 7 times of his son's age. The present age of the father is:A. 40 yearsB. 30 yearsC. 50 yearsD. 45 yearsCorrect Answer: A. 40 yearsSolution:76. A man is performing yoga with his head down and legs up. His face is towards the West. In which direction will his left hand be?A. NorthB. SouthC. WestD. EastCorrect Answer: A. NorthSolution:77. Two taps A and B would fill a tank completely in 30 and 36 minutes respectively. Both taps being opened, find when the tap A must be turned off so that the tank must be just filled in 18 minutes?A. After 15 minutesB. After 12 minutesC. After 14 minutesD. After 16 minutesCorrect Answer: A. After 15 minutesSolution:78. In how many years will a sum of ₹ 800 become ₹ 926.10 at 10% per annum interest compound half yearly?A. 3 yearsB. 1½ yearsC. 4½ yearsD. 2 yearsCorrect Answer: B. 1½ yearsSolution:79. The least square number, which is divisible by 8, 15 and 24 is equal to:A. 120B. 1800C. 3600D. 6400Correct Answer: C. 3600Solution:80. If the selling price of 6 pens is equal to the cost price of 8 pens, then profit/loss in percentage is:A. 25% profitB. 25% lossC. 33⅓ % lossD. 33⅓ % profitCorrect Answer: D. 33⅓ % profitSolution:Submit Quiz« Previous123456789101112131415Next »