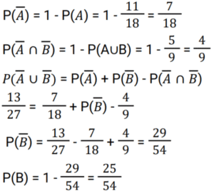
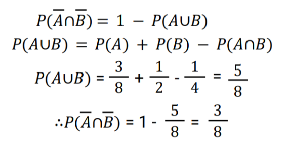
Probability (SSC)Total Questions: 641. A die is cast twice and a coin is tossed thrice. Find the probability that the die will turn a 5 each time and the coin will turn a head every time. [SSC CHSL Tier II (18/11/2024)](a)(b)(c)(d)Correct Answer: (c)Solution: 2. If A and B are events with P(A) = 3/8, P(B) = 1/2 and P(A ∩ B) = 1/4, find P(Ā ∩ B̄). [SSC CHSL Tier II (02/11/2023)](a)(b)(c)(d)Correct Answer: (b)Solution:3. Sudarsan and Abraham appear for an interview for two vacancies. The probability of Sudarsan’s selection is 1/3 and that of Abraham’s selection is 1/5. Find the probability that none of them be selected. [SSC CHSL Tier II (10/01/2024)](a)(b)(c)(d)Correct Answer: (a)Solution:4. If (A ∩ B) = 5/9, P(Ā ∩ B̄) = 13/27, P(A) = 11/18, then the odds against the event B are: [SSC CGL Tier II ( 26/10/2023 )](a)(b)(c)(d)Correct Answer: (c)Solution: 5. Three cards are drawn one after another with replacement from a pack of cards. What is the probability of getting first card a Jack, second card a black card, and third card an even numbered card? [SSC CGL Tier II ( 26/10/2023 )](a)(b)(c)(d)Correct Answer: (a)Solution:6. In grade 11 of a school, 40 students opted for Physics, 17 opted for Biology, and 20 opted for Chemistry. If the total number of students in grade 11 was 60, all of these students opted for at least one of the three subjects mentioned here, and exactly five of these students opted for all these three subjects, what is the probability that a randomly selected student of grade 11 of this school would have opted for exactly one of these three subjects? [SSC CHSL Tier II (26/06/2023)](a) 0.75(b) 0.85(c) 0.90(d) 0.80Correct Answer: (d) 0.80Solution:7. A person can hit a target 5 times out of 8 shots. If he fires 10 shots, what is the probability that he will hit the target twice? [SSC CGL Tier II (07/03/2023)](a)(b)(c)(d)Correct Answer: (d)Solution:8. The probabilities of solving a problem by three students A, B and C are 3/7, 5/9 and 1/5, respectively. The probability that problem will be solved is: [SSC CGL Tier II (06/03/2023)](a)(b)(c)(d)Correct Answer: (c)Solution:9. A speaks the truth 5 out of 7 times and B speaks truth 8 out of 9 times. What is the probability that they contradict each other in stating the same fact? [SSC CGL Tier II (03/03/2023)](a)(b)(c)(d)Correct Answer: (d)Solution:10. A glass jar contains 6 white, 8 black, 4 red and 3 blue marbles. If a single marble is chosen at random from the jar, what is the probability that it is black or blue? [SSC CGL Tier II (02/03/2023)](a)(b)(b)(d)Correct Answer: (b)Solution:Submit Quiz1234567Next »