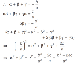
QUADRATIC EQUATIONS AND INEQUATIONS (CDS)Total Questions: 6711. Which of the following pair of numbers is the solution of the equation 3ˣ⁺² + 3⁻ˣ = 10 ? [2019 (I) Morning Shift](a) 0, 2(b) 0, −2(c) 1, −1(d) 1, 2Correct Answer: (b) 0, −2Solution: 12. If x² - 6x - 27 > 0 then which one of the following is correct? [2018 (II) Evening Shift](a) - 3 < x < 9(b) x - 3(c) x > 9 or x < - 3(d) x < - 3 onlyCorrect Answer: (c) x > 9 or x < - 3Solution:Given, x² - 6x - 27 > 013. If α and ẞ are two real numbers such that α + β = q/p and αβ = where l < p < q < r, then which one of the following is the greatest? [2018 (II) Evening Shift](a)(b)(c)(d)Correct Answer: (c)Solution: 14. Solve the following equation [2018 (II) Evening Shift](a) a/bc(b) b/ac(c) c/ab(d) 1/abcCorrect Answer: (a) a/bcSolution:We have, α, β are the roots of the equation15. The minimum value of the expression 2x² + 5x + 5 is [2018 (II) Evening Shift](a) 5(b) 15/8(c) −15/8(d) 0Correct Answer: (b) 15/8Solution:Let y = 2x² + 5x + 5 is16. It is given that equations x² - y² = 0 and (x - a)² + y² = 1 have single positive solution. For this, the value of 'a' is [2018 (II) Evening Shift](a) √2(b) 2(c) - √2(d) 1Correct Answer: (a) √2Solution:We have, x² - y² = 0 ... (i)17. If α, β and γ are the zeroes of the polynomial f(x) = ax³ + bx² + cx + d then α² + β² + γ² is equal to [2018 (II) Evening Shift](a)(b)(c)(d)Correct Answer: (d)Solution:We have, f(x) = ax³ + bx² + cx + d, α, β, γ are the zero of the given polynomials18. If the roots of the equation px² + x + r = 0 are reciprocal to each other, then which one of the following is correct? [2018 (I) Morning Shift](a) p = 2r(b) p = r(c) 2p = r(d) p = 4rCorrect Answer: (b) p = rSolution:Let the roots of the equation be ‘α’ and ‘β’. According to the question, α = 1/β ... (i)19. If α and β are the roots of the equation ax² + bx + c = 0, then what is the value of the expression (α + β) (β + 1) ? [2018 (I) Morning Shift](a)(b)(c)(d)Correct Answer: (c)Solution:α and β are the roots of the equation ax² + bx + c = 020. The sum of a number and its square is 20. Then, the number is [2018 (I) Morning Shift](a) −5 or 4(b) 2 or 3(c) −5 only(d) 5 or −4Correct Answer: (a) −5 or 4Solution:Let the number be x.Submit Quiz« Previous1234567Next »