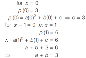
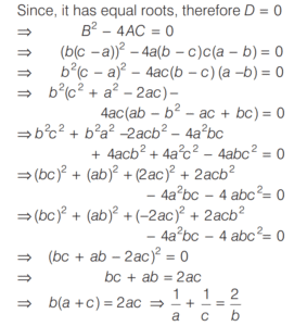
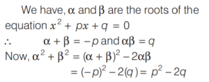
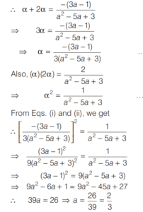
QUADRATIC EQUATIONS AND INEQUATIONS (CDS)Total Questions: 6721. A quadratic polynomial ax² + bx + c is such that when it is divided by x,(x − 1) and (x + 1), the remainders are 3, 6 and 4 respectively. What is the value of (a + b) ? [2018 (I) Morning Shift](a) 3(b) 2(c) 1(d) −1Correct Answer: (a) 3Solution:p(x) = ax² + bx + c22. What is the value of α (α ≠ 0) for which x² -5x + α and x² -7x + 2α have a common factor?(a) 6(b) 4(c) 3(d) 2Correct Answer: (a) 6Solution:We have,23. What is the positive value of m for which the roots of the equation 12x² + mx + 5 = 0 are in the ratio 3 : 2 ? [2017 (II) Evening Shift ](a)(b)(c)(d)Correct Answer: (a)Solution:We have, 12x² + mx + 5 = 024. If the roots of the equation a(b - c)x² + b(c - a) x + c(a - b) = 0 are equal, then which one of the following is correct? [2017 (II) Evening Shift ](a)(b)(c)(d)Correct Answer: (c)Solution:Given equation is a(b - c)x² + b(c - a) x + c(a - b) = 025. If k is an integer, then x² + 7x - 14 (k² - 7/8) = 0 has [2017 (II) Evening Shift ](a) both integral roots(b) at least one integral root(c) no integral root(d) both positive integral rootsCorrect Answer: (c) no integral rootSolution:Given equation is26. If α and β are the roots of the quadratic equation 2x² + 6x + k = 0 , where k < 0 , then what is the maximum value of α/β + β/α ? [2017 (I) Morning Shift ](a) 2(b) -2(c) 9(d) -9Correct Answer: (d) -9Solution:We have, 2x² + 6x + k = 0 27. If one root of (a² - 5a + 3) x² + (3a - 1) x + 2 = 0 is twice the other, then what is the value of 'a'? [2017 (I) Morning Shift ](a) 2/3(b) − 2/3(c) 1/3(d) − 1/3Correct Answer: (a) 2/3Solution:Let α, 2α, be the roots of the given equation.28. If α and β are the roots of the equation x² + px + q = 0, then what is α² + β² equal to? [2017 (I) Morning Shift ](a) p² - 2q(b) q² - 2p(c) p² + 2q(d) q² - qCorrect Answer: (a) p² - 2qSolution:29. The values of x which satisfy the equation 5¹⁺ˣ + 5¹⁻ˣ = 26 are [2017 (I) Morning Shift ](a) −1, 1(b) 0, 1(c) 1, 2(d) −1, 0Correct Answer: (a) −1, 1Solution:We have, 5¹⁺ˣ + 5¹⁻ˣ = 2630. Aman and Alok attempted to solve a quadratic equation. Aman made a mistake in writing down the constant term and ended up in roots (4, 3). Alok made a mistake in writing down the coefficient of x to get roots (3, 2). The correct roots of the equation are [2017 (I) Morning Shift ](a) −4, −3(b) 6, 1(b) 6, 1(c) 4, 3Correct Answer: (b) 6, 1Solution:Let quadratic equation be ax² + bx + c = 0Submit Quiz« Previous1234567Next »