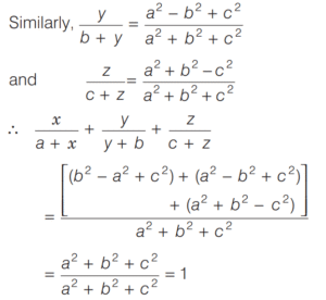
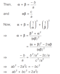
QUADRATIC EQUATIONS AND INEQUATIONS (CDS)Total Questions: 6741. Solve the following equation [2016 (I) Morning Shift ]The linear inequations, for which the shaded area in the figure given above is the solution set, are(a) 2x + 6y ≤ 21, 5x - 2y ≤ 10(b) 2x + 6y ≤ 21, 5x - 2y ≥ 10(c) 2x + 6y ≥ 21, 5x - 2y ≤ 10(d) 2x + 6y ≥ 21, 5x - 2y ≥ 10Correct Answer: (a) 2x + 6y ≤ 21, 5x - 2y ≤ 10Solution:Consider the line, 2x + 6y = 21 ... (i)42. If the sum of the roots of ax² + bx + c = 0 is equal to the sum of the squares of their reciprocals, then which one of the following relations is correct? [2016 (I) Morning Shift ](a) ab² + bc² = 2a²c(b) ac² + bc² = 2b²a(c) ab² + bc² = a²c(d) a² + b² + c² = 1Correct Answer: (a) ab² + bc² = 2a²cSolution:Let α β and be the roots of equation ax² + bx + c = 0.43. Consider the following statements in respect of two different non-zero integers p and q. [2016 (I) Morning Shift ]1. For (p + q) to be less than (p - q), q must be negative. 2. For (p + q) to be greater than (p - q), both p and q must be positive.Which of the above statement(s) is/are correct?(a) Only 1(b) Only 2(c) Both 1 and 2(d) Neither 1 nor 2Correct Answer: (a) Only 1Solution:Given, p and q are non-zero integers.44. Solve the following equation [2016 (I) Morning Shift ](a) 0(b) 1(c) 2(d) 3Correct Answer: (a) 0Solution:Since, the roots of equation 45. Solve the following equation [2016 (I) Morning Shift ](a) − 15(b) − 5(c) 0(d) 5Correct Answer: (a) − 15Solution: 46. Solve the following equation [2016 (I) Morning Shift ](a) a + b + c(b) 3(c) 1(d) 0Correct Answer: (c) 1Solution: 47. If the equations x² - px + q = 0 and x² + qx - p = 0 have a common root, then which one of the following is correct? [2016 (I) Morning Shift ](a) p - q = 0(b) p + q - 2 = 0(c) p + q - 1 = 0(d) p - q - 1 = 0Correct Answer: (d) p - q - 1 = 0Solution:Given, x² - px + q = 0 ...(i)48. The sum and difference of two expressions are 5x² - x - 4 and x² + 9x - 10, respectively. The HCF of the two expressions will be [2016 (I) Morning Shift ](a) (x + 1)(b) (x - 1)(c) (3x + 7)(d) (2x - 3)Correct Answer: (b) (x - 1)Solution:49. Solve the following equation [2015 (II) Evening Shift](a) 51(b) 53(c) 55(d) 57Correct Answer: (c) 55Solution: 50. Consider the following in respect of the equation [2015 (II) Evening Shift]1. y = l if x > 1 2. y = - 1 if x < 1 3. y exists for all values of xWhich of the above statement(s) is/are correct?(a) Only 1(b) Only 2(c) 1 and 2(d) 1, 2 and 3Correct Answer: (c) 1 and 2Solution: Submit Quiz« Previous1234567Next »