QUADRILATERAL AND POLYGON (CDS)

Total Questions: 41

11. ABCDEF is a regular polygon. Two poles at C and D are standing vertically and subtend angles of elevation 30º and 60º at A respectively. What is the ratio of the height of the pole at C to that of the pole at D? [2017 (I) Morning Shift]

Correct Answer: (b) 1 : 2√3
Solution:Here, two poles CT and DS are standing vertically atC and D respectively.



12. ABCD is a rectangle. The diagonals AC and BD intersect at O. If AB = 32 cm and AD = 24 cm, then what is OD equal to? [2017 (I) Morning Shift]

Correct Answer: (b) 20 cm
Solution:

13. In the figure given below, AC is parallel to ED and AB = DE = 5 cm and BC = 7 cm. What is the area ABDE : area BDE : area BCD equal to? [2017 (I) Morning Shift]

Correct Answer: (a) 10 : 5 : 7
Solution:


14. In the figure given below, PQRS is a parallelogram PA bisects angle P and SA bisects angle S. What is angle PAS equal to? [2017 (I) Morning Shift]

Correct Answer: (c) 90º
Solution:Since, PQRS is a parallelogram

15. Consider the following statements [2016 (I) Morning Shift]

1. If n ≥ 3 and m ≥ 3 are distinct positive integers, then the sum of the exterior angles of a regular polygon of m sides is different from the sum of the exterior angles of a regular polygon of n sides.
2. Let m, n be integers such that m> n ≥ 3. Then, the sum of the interior angles of a regular polygon of m sides is greater than the sum of the interior angles of a regular polygon of n sides and their sum is (M+n) π/2.

Which of the above statement(s) is/are correct?

Correct Answer: (d) Neither 1 nor 2
Solution:

16. Consider the following statements [2016 (I) Morning Shift]

1. There exists a regular polygon whose exterior angle is 70°.
2. Let n ≥ 5, then the exterior angle of any regular polygon of n sides is acute.

Which of the above statement(s) is/are correct?

Correct Answer: (b) Only 2
Solution:Exterior angle of regular polygon

17. A rhombus is formed by joining mid-points of the sides of a rectangle in the suitable order. If the area of the rhombus is 2 sq units, then the area of the rectangle is [2016 (I) Morning Shift]

Correct Answer: (b) 4 square units
Solution:We know that,

18. If each interior angle of a regular polygon is 140°, then the number of vertices of the polygon is equal to [2016 (I) Morning Shift]

Correct Answer: (b) 9
Solution:Given, each interior angle = 140°

19. ABCD is a parallelogram with AB and AD as adjacent sides. If ∠A = 60° and AB = 2AD, then the diagonal BD will be equal to [2015 (II) Evening Shift]

Correct Answer: (b) √3 AD
Solution:Given, ∠A = 60° and BD = 2AD



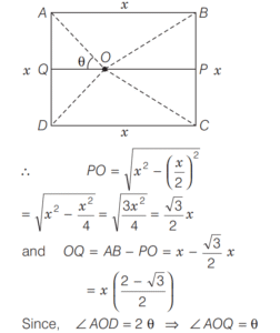
20. An equilateral ∆BOC is drawn inside a square ABCD. If ∠AOD = 2θ, what is tanθ equal to? [2015 (II) Evening Shift]

Correct Answer: (d) 2 + √3
Solution:Let side of square ABCD be x and drawn an equilateral ∆BOC inside ABCD such that BO = OC = BC = x and BP = BC/2 = x/2