Railway Science (Physics-Electric Current and its Effects) (Part-III)

Total Questions: 50

31. In electric circuits, losses take place in the form of ________due to flow of electric current. [RRC Group D 11/10/2022 (Morning)]

Correct Answer: (d) heat
Solution:

When current flows through a conductor, heat energy is generated in the conductor. The heating effect of an electric current depends on three factors: The resistance of the conductor (a higher resistance produces more heat), the time for which current flows (the longer the time the larger the amount of heat produced) and the amount of current (the higher the current the larger the amount of heat generated). Amount of Heat (H) = i²Rt (where i = current, R = Resistance, t = time).

32. The fuse used for domestic purpose is rated in the range of __________. [RRC Group D 11/10/2022 (Morning)]

Correct Answer: (c) 1 Ampere – 10 Ampere
Solution:

Fuse is a protective device meant to protect electrical appliances from high voltage and short circuits. In event of any possible damage, the fuse wire melts and disconnects the circuit from the supply to prevent damage. General household wire has a current supply of 5 amperes.

33. Consider a horseshoe magnet with its north pole towards west and south pole towards east. A conducting rod is loosely connected to a galvanometer. If this rod is now moved between the poles of the magnet vertically downwards, the direction of the induced current in it will be_________. [RRC Group D 11/10/2022 (Morning)]

Correct Answer: (d) north to south direction
Solution:

A horseshoe magnet is either a permanent magnet or an electromagnet made in the shape of a horseshoe. It is usually depicted as red and marked with ′North' and 'South' poles. Galvanometer: An instrument for detecting and measuring small electric currents. Factors Affecting sensitivity of galvanometer - Number of turns in the coil, Area of the coil and Magnetic field strength.

34. In an electric motor, the________act(s) as a contact between the commutator and the terminals of the battery. [RRC Group D 11/10/2022 (Afternoon)]

Correct Answer: (d) carbon brushes
Solution:

Elements of Electric Motor - Commutator - It is the rotating interface of the armature coil with a stationary circuit. Magnetic fieldThe magnetic field helps to produce a torque on the rotating armature coil by virtue of Fleming’s left-hand rule. Armature Core - Holds the armature coil in place and provides mechanical support. Armature Coil- It helps the motor to run. Brushes - It is a device that conducts current between stationary wires and moving parts, most commonly the rotating shaft.

35. Among the following situations, potential difference is induced in a closed conducting coil when: [RRC Group D 11/10/2022 (Evening)]

Correct Answer: (a) either the bar magnet is moved towards the closed coil or the closed coil is moved towards the bar magnet
Solution:

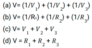
36. The voltages across three resistances 𝑅₁, 𝑅₂ and 𝑅₃, connected in series are 𝑉₁, 𝑉₂ and 𝑉₃ , respectively. What is the net voltage V across them if I represent the net current flowing through them? [RRC Group D 11/10/2022 (Evening)]

Correct Answer: (c)
Solution:

According to Ohm's Law, V = IR. The electric potential difference or voltage of a battery is the potential energy difference across its terminals for every Coulomb of charge. In series combination, the sum of potential differences across all resistors is equal to the net potential across the circuit.

37. A _______ is a passive two-terminal electrical component that implements electrical resistance as a circuit element. [RRB NTPC CBT - II (14/06/2022) Shift 2]

Correct Answer: (c) resistor
Solution:

A resistor is an electrical component that limits or regulates the flow of electrical current in an electronic circuit. The SI unit to measure electric resistance is Ohm (Ω). A capacitor is a two-terminal electrical device that can store energy in the form of an electric charge. A transistor is a miniature semiconductor that regulates or controls current or voltage flow in addition amplifying and generating these electrical signals and acting as a switch/gate for them. A diode is a  semiconductor device that essentially acts as a one-way switch for current.

38. Water has the highest density of nearly _______ Kelvin. [RRB NTPC CBT - II (16/06/2022) Shift 1]

Correct Answer: (c) 277
Solution:

At 273 Kelvin (0 degree celsius), water exists in a cage-like structure in ice form. On heating, we find that molecules gain kinetic energy and this cage-like structure breaks. Due to this breaking, the volume decreases. At 277 Kelvin or (4 degree celsius), it so happens that the entire cage like structure is broken which results in decrease in volume resulting in maximum density. Therefore, the density of water is maximum at this temperature.

39. The thin wire that gives off light in an electric bulb is called _______ . [RRB NTPC CBT - II (17/06/2022) Shift 1]

Correct Answer: (a) filament
Solution:

It is made up of tungsten. The electric bulb (incandescent bulb) consists of a globe, the filament, connecting wires and a stem, a base and inert gases filled within it. The first commercial electric bulb was first invented by Thomas Edison in the year 1879.

40. Among various electrical safety devices, one based on the heating effect of electric current is called a _____. [RRB NTPC CBT - I (05/01/2021) Morning]

Correct Answer: (a) fuse
Solution:

It is a piece of wire( made up of Tin (Sn) and Lead (Pb) alloy) with a very low melting point, when high current flows through the circuit due to short circuit, the wires get heated and melt. Capacitor- Device that stores electrical energy in an electric field. Surge protector - electrical device whose purpose is to protect electrical equipment from voltage spikes in alternating current (AC) circuits. Protective Relay - Device that detects the fault and initiates the operation of the circuit breaker to isolate the defective element from the rest of the system.