Railway Science (Physics-Electric Current and its Effects) (Part-VII)

Total Questions: 50

11. The resistance of a metal wire of length 1 m is 50 Ω at 30 °C. Suppose the diameter of the wire is 0.3 mm. Now another wire has the same material and the same length (at 30 °C), but the diameter has increased to 0.6 mm. The resistance of the new wire is: [RRC Group D 20/09/2022 (Morning)]

Correct Answer: (a) 12.5 Ω
Solution:

12. A house is supplied electricity through a 15 A fuse. The number of 100 W lamps that can be used simultaneously along with a 2KW AC is: (The AC and lamps both are rated for 220 V Supply) [RRC Group D 20/09/2022 (Morning)]

Correct Answer: (a) 13
Solution:

P = V × I (Where P = power, V = Voltage, I = Current) V
= 220 V, I = 15 A, Power of AC = 2Kw = 2000 watt
Now, total power P = VI ⇒ P = 220 × 15 = 3300 W
Let n be no of bulbs can be used in the circuit, then
𝑃𝑜𝑤𝑒𝑟ₜₒₜₐₗ =  𝑃₁+ 𝑃₂  ⇒ P = n × 𝑝₁ + 1 𝑝₂
3300= n × 100 + 200
100n = 3300 - 2000 ⇒ 100n = 1300
⇒ n = 1300/100 = 13

13. The minimum resistance of a circuit which can be constructed using seven resistors, each of 1/6Ω, is: [RRC Group D 20/09/2022 (Evening)]

Correct Answer: (a) 1/42 Ω
Solution:

14. The maximum and minimum total resistance that can be obtained by the combination of 5 coils of resistances 2Ω, 3Ω, 4 Ω, 6Ω and 12Ω will be________ [RRC Group D 20/09/2022 (Evening)]

Correct Answer: (a) 27Ω, 0.75 Ω
Solution:

15. A student plots three graphs for I against V for three Ohmic conductors A, B and C. He found that the slope of these three graphs are 0.5, 0.1 and 0.2, respectively. If the conductors have the same length and their cross-section [RRC Group D 22/09/2022 (Morning)]

Correct Answer: (c) 2 : 20 : 15
Solution:

Here we know that, R= ρ/𝑙𝑎 , where R= Resistance,  Resistivity, l = Length of the conductor, a = Cross section area of conductor.

16. Consider several electric bulbs designed to be used on a 240 V electric supply line. The bulbs are rated as 10 W. How many bulbs can be connected in parallel with each other across the two wires of the 240 V line if the maximum allowable current is 8 A? [RRC Group D 22/09/2022 (Morning)]

Correct Answer: (a) 192
Solution:

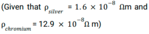
17. Suppose in a circuit, a silver wire of length L and cross-sectional area A is replaced by a chromium wire of length L/3 and cross-sectional area 3A. The resistance of the circuit will___________. [RRC Group D 22/09/2022 (Afternoon)]

Correct Answer: (a) decrease to 0.89 times of itself
Solution:

18. The resistivity of the material of wire having resistance 0.7Ω, length 1 m and diameter 0.2 mm is: [RRC Group D 22/09/2022 (Afternoon)]

Correct Answer: (a) 2.2 × 10⁻⁸Ω𝑚
Solution:

Given, Resistance (R) = 0.7Ω, Length (L) = 1m diameter (d) = 0.2 mm

19. A 2KW AC is to be used on a 250 V a.c. mains for which a 3-pin top plug fitted to a cable is required. Which of the following option is NOT correct: [RRC Group D 22/09/2022 (Afternoon)]

Correct Answer: (d) The appropriate value of fuse to be used is 12 A
Solution:

Given, P(Power) = 2000W or 2kW, V(Voltage) = 250 volt
P = VI
⇒ 2000W = 250 × I
⇒ I (Current) = 2000/250 = 8A.
Hence, the 12A fuse is not the most appropriate value to use because it is too high for the passing current.

20. Consider two wires of the same resistance, but the ratio of their cross-sectional areas is 1 : 9. Furthermore, the ratio of their lengths is 3:2. The ratio of their resistivities will be: [RRC Group D 22/09/2022 (Evening)]

Correct Answer: (a) 2 : 27
Solution:

Given, Ratio of Cross Sectional area= 1 : 9 , ratio of length - 3 : 2.