Railway Science (Physics-Force and Pressure) (Part-II)

Total Questions: 50

11. The rate of change of displacement with time is called : [RRB Group D 23/09/2018 (Morning)]

Correct Answer: (c) velocity
Solution:

Velocity is a vector quantity that measures the rate at which an object changes its position in a particular direction with respect to time. Acceleration is the rate of change of velocity with respect to time. Force is defined as any interaction that, when unopposed, will change the motion of an object.

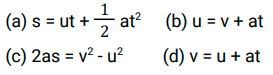
12. Which of the following is the equation showing the relationship between velocity and time? [RRB Group D 24/09/2018 (Morning)]

Correct Answer: (d)
Solution:

13. Select the most appropriate option Momentum has _____ . [RRB Group D 24/09/2018 (Evening)]

Correct Answer: (b) magnitude and direction
Solution:

Momentum is a measurement of mass in motion. The momentum, p of an object is defined as the product of its mass, m and velocity, v. Formula: p = mv. It is a vector quantity. The SI unit of momentum is kilogram-metre per second (kg m s⁻¹).

14. Compressions are formed at places where air pressure is: [RRB Group D 24/09/2018 (Evening)]

Correct Answer: (c) high
Solution:

The region of high pressure and high density is called compression and the region of low pressure and low density in the air is called Rarefaction.

15. The effect of stress depends on which of the following? [RRB Group D 26/09/2018 (Afternoon)]

Correct Answer: (a) Area
Solution:

The restoring force per unit area is known as stress. If F is the force applied normal to the cross–section and A is the area of the cross section of the body. Magnitude of the stress = F/A. The SI unit of stress is Nm⁻² or pascal (Pa) and its dimensional formula is [ML⁻¹T⁻²].

16. The product of mass and velocity is _______. [RRB Group D 26/09/2018 (Evening)]

Correct Answer: (b) momentum
Solution:

The momentum of an object is the product of its mass and velocity and has the same direction as that of the velocity. Its SI unit is kg m s⁻¹. It is a vector quantity. All objects have mass, so if an object is moving then it has momentum.

17. An object having the capability to do work is said to possess: [RRB Group D 27/09/2018 (Morning)]

Correct Answer: (d) Energy
Solution:

A conserved quantity which has a different form, but it is classified based on potential and kinetic energy. P.E = mgh, K.E = mv²/2. The SI unit of energy is joule.

18. The Second Equation of Motion gives the relationship between _____ and Time. [RRB Group D 28/09/2018 (Morning)]

Correct Answer: (b) Position
Solution:

The second equation of motion: s = ut + ½ at² where, s = distance traveled by the object (position of the object), u = initial velocity, t = time taken, a = acceleration of the object. Acceleration - The rate of change of velocity. a = (v - u)/t , where v = final velocity. Momentum - Product of its mass and velocity of an object. Formula = mass × velocity. Velocity - Displacement by an object in per unit time. V = s/t, where V = velocity, s = displacement, and t = time.

19. When two equal forces are acting on a body and opposite in direction, the net force acting on the body becomes ________ . [RRB Group D 28/09/2018 (Afternoon)]

Correct Answer: (c) zero
Solution:

When two forces of equal magnitude act in opposite directions, they cancel each other out. One force tries to move the body in one direction, while the other force tries to move it in the opposite direction. Force can be defined as the pull or push applied on an object.

20. Retardation is______. [RRB Group D 01/10/2018 (Morning)]

Correct Answer: (d) negative acceleration
Solution:

Positive acceleration occurs when the body's velocity increases. Similarly, as velocity decreases, the acceleration becomes negative which is called retardation.