Railway Science (Physics-Force and Pressure) (Part-II)

Total Questions: 50

21. According to which of the following principles does a rocket work in space? [RRB Group D 01/10/2018 (Afternoon)]

Correct Answer: (a) Principle of conservation of momentum
Solution:

This principle states that the total momentum of a closed system remains constant unless acted upon by an external force. Principle of energy conservation: This principle states that energy can neither be created nor destroyed, only transformed.

22. When an object is moving with uniform speed, what will be its acceleration? [RRB Group D 01/10/2018 (Afternoon)]

Correct Answer: (c) zero
Solution:

Acceleration is defined as the rate of change of velocity. Velocity itself has two components: speed and direction. Uniform speed implies that the object's magnitude of velocity (speed) remains constant. This means the rate of change of velocity is zero. Hence, acceleration is zero.

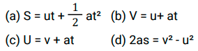
23. Which one of the following is the equation for Position - Time relation? [RRB Group D 01/10/2018 (Evening)]

Correct Answer: (a)
Solution:

24. An object moves at a constant speed when there is no _______ acting on it. [RRB Group D 04/10/2018 (Morning)]

Correct Answer: (c) force
Solution:

Newton's first law of motion, which states that an object at rest will remain at rest, and an object in motion will remain in motion at constant speed and in a straight line unless acted upon by a net force. Impulse is the change in momentum. Inertia is the property of an object to resist changes in its motion. Pressure is a force applied over a specific area.

25. The momentum of an object depends on ________. [RRB Group D 04/10/2018 (Afternoon)]

Correct Answer: (c) Both the mass and velocity of the object
Solution:

The momentum is a vector quantity. Its formula is p = mv. The momentum of an object is directly proportional to both its mass and velocity. The SI unit of momentum is kilogram-meter per second (kg ms⁻¹).

26. When an object floats, the upthrust of the liquid on the object is ______ . [RRB Group D 05/10/2018 (Morning)]

Correct Answer: (b) same as the weight of the object
Solution:

Thrust - Force acting perpendicular to the surface of an object. Thrust = Pressure × Area. The thrust of a liquid on an object is called buoyancy. It is the upward force exerted by a liquid on an object that is partially or fully submerged in the liquid.

27. The property of a substance not changing its shape even after ______ work is done on it is called ______. [RRB Group D 05/10/2018 (Morning)]

Correct Answer: (c) External force; perseverance
Solution:

The property of a substance to maintain its shape even when it is in motion is called inertia. The constants that represent this property are called moments of inertia. Examples of objects with high moments of inertia - Spheres, Disks, Cylinders, Wheels. examples of objects with low moments of inertia - Rods, Needles, Sheets, Plates.

28. What would you call air pressure ? [RRB Group D 05/10/2018 (Afternoon)]

Correct Answer: (c) atmospheric pressure
Solution:

Atmospheric pressure is the force exerted by the weight of Earth's atmosphere on everything at its surface, affecting objects like the air we breathe, the water in oceans, and even buildings and structures. Evaporation: This is the process of a liquid changing into a gas.

29. When the barometric readings suddenly decrease, it indicates that the weather _______ . [RRB Group D 05/10/2018 (Afternoon)]

Correct Answer: (d) Will be very stormy.
Solution:

A barometer is a scientific instrument that is used to measure air pressure in a certain environment. When the barometer drops quickly, it suggests a thunderstorm is imminent. If it doesn't rise after the storm ends, the weather may stay unstable for days.

30. ___________ is called work. [RRB Group D 08/10/2018 (Morning)]

Correct Answer: (a) Force × displacement
Solution:

Work is defined as the dot product of applied force and the displacement caused due to the application of the force. It can be positive, negative or even zero on varying the value of angle θ (W = F.d Cosθ).