Railway Science (Physics-Gravitation)

Total Questions: 59

1. If the mass of a person is 60 kg on the surface of earth then the same person‘s mass on the surface of the moon will be: [RRB NTPC CBT - I (28/12/2020) Morning]

Correct Answer: (c) 60 kg
Solution:

The gravity on Earth is 6 times the gravity of the Moon. Therefore, if a person or an object is taken from the earth to the moon, there will be no change in its mass, but its weight will be decreased.

2. The Law of Gravitation was given by ______ . [RRB NTPC CBT - I (27/02/2021) Morning]

Correct Answer: (a) Isaac Newton
Solution:

He put forward the universal law of gravitation in 1687 and used it to explain the observed motions of the planets and moons. List of Scientific laws - Boyle's law (Robert Boyle), Doppler effect (Christian Doppler), theory of relativity (Albert Einstein), Henry's law (William Henry), Hooke's law (Robert Hooke), Theory of Natural Selection (Charles Darwin).

3. The value of ‘g’ (gravity) varies from the value of ‘R’ (radius). A student would observe minimum ‘g’ at the____. [RRB NTPC CBT - I (02/03/2021) Morning]

Correct Answer: (a) Equator
Solution:

The value of g is maximum at the poles due to the Earth's rotation and the distribution of mass.. The Earth's rotation causes a centrifugal force that pushes objects outward at the equator, reducing the gravitational force. The Earth's mass is not evenly distributed, with more mass concentrated towards the core and less mass towards the surface. It leads to the weaker gravitational force a Equator than Poles.

4. The value of ‘g’ is maximum at: [RRB NTPC CBT - I (07/03/2021) Evening]

Correct Answer: (d) poles
Solution:

Gravity is minimum at the equators. Variation of g with Height: The value of g is inverse to the height above the earth's surface; therefore, it decreases with increasing height.

5. The force of attraction between two objects of masses 'M' and 'm' which lie at a distance 'd' from each other is directly proportional to the- [RRB JE 22/05/2019 (Afternoon)]

Correct Answer: (c) Product of the masses of objects M x m
Solution:

This relationship is described by Newton's law of gravitation, which states that the force of attraction between two objects is directly proportional to the product of their masses and inversely proportional to the square of the distance between them. Mathematically expressed as :
𝐹 = 𝐺(Mm/d²) , F is the force of attraction, G is the gravitational constant, M and m are the masses of the two objects, and d is the distance between them.

6. The force of attraction between two objects of masses M and m which lie at a distance d from each other is inversely proportional to- [RRB JE 23/05/2019 (Morning)]

Correct Answer: (b) Square of distance between them: d²
Solution:

Newton's universal law of gravitation: Every object in the universe attracts every other object with a force that is directly proportional to the product of their masses and inversely proportional to the square of the distance between them i.e. F = 𝐺Mm/d².
Where, F = Force of gravitation between the objects M = Mass of first object, m = Mass of the second object, d = Distance between the centers of the two objects, and G = Universal gravitational constant.

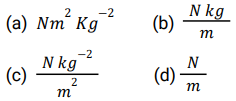
7. What is the SI unit of G- the universal gravitation constant? [RRB JE 24/05/2019 (Afternoon)]

Correct Answer: (a)
Solution:

8. What happens to the force of gravitation between two objects when the mass of one object is doubled? [RRB JE 25/05/2019 (Morning)]

Correct Answer: (d) The force of gravitation is doubled
Solution:

According to Newton's law of gravitation, the force of attraction between two objects is directly proportional to the product of their masses and inversely proportional to the square of the distance between them.

9. Which of the following laws says that "Every object in the universe attracts every other object with a force which is proportional to the product of their masses and inversely proportional to the square of distance between them?" [RRB JE 26/05/2019 (Afternoon)]

Correct Answer: (a) Universal Law of gravitation
Solution:

10. The force of attraction between all masses in the universe, especially the attraction of the earth's mass for bodies near its surface is called [RRB JE 26/05/2019 (Evening)]

Correct Answer: (b) Gravitational force
Solution:

The frictional force - The opposing force that is created between two surfaces that try to move in the same/opposite directions. Mechanical force - A force that involves direct interactions between two things and results in a modification in the object’s condition. Spring force - The force that is exerted by a stretched or compressed spring upon any object that is attached to it.