Railway Science (Physics-Gravitation)

Total Questions: 59

51. Consider a planet whose mass and radius are one-third the mass and radius of the earth. If g is the value of acceleration due to gravity on the earth , then its value on the planet will be __________. [RRB Group D 19/09/2018 (Afternoon)]

Correct Answer: (c) 3 g
Solution:

52. The force of attraction between two bodies is 1/9 F. Then what will be the distance between these two bodies? [RRB Group D 10/10/2018 (Morning)]

Correct Answer: (a) three times
Solution:

53. The acceleration due to gravity at the Earth's surface is 9.8 m/s². What will be the approximate value of acceleration at a height of 1/10 of its radius from the earth's surface? [RRB Group D 15/10/2018 (Evening)]

Correct Answer: (d) 8.1 m/s²
Solution:

54. Suppose that the force of gravity varies inversely with the n power of distance. So the period taken by the planet to revolve around the Sun in a circular orbit of radius R will be proportional to _______. [RRB Group D 15/11/2018 (Morning)]

Correct Answer: (c)
Solution:

55. The value of g on the moon is (1/6) th of the value of g on the earth, If a man can jump 1.5 m high on the earth, on the moon, he can jump up to a height of: [RRB ALP Tier - I (13/08/2018) Morning]

Correct Answer: (c) 9m
Solution:

Moon's gravity is 1/6th of the earth gravity that means Earth's gravity is 6 times of moon’s gravitational force so if a person jumps 1.5m on earth he can jump 1.5 × 6 = 9m on the moon's surface. Earth’s Gravity - 9.807 m/s² . Moon's gravity - 1.62m/s²

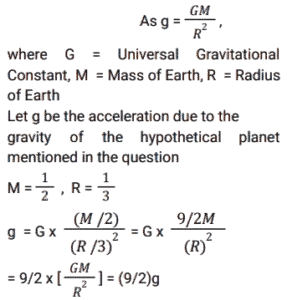
56. Consider a hypothetical planet with a mass equal to half that of Earth and radius is one- third that of Earth. If g is the acceleration due to gravity on Earth, the acceleration due to gravity on the planet will be: [RRB ALP Tier - I (17/08/2018) Afternoon]

Correct Answer: (b) 9/2 g
Solution:

57. Consider a hypothetical planet whose mass and radius are both half that of Earth. If g is the acceleration due to gravity on the surface of Earth, the acceleration due to gravity on the planet will be: [RRB ALP Tier - I (20/08/2018) Morning]

Correct Answer: (a) 2 g
Solution:

58. Consider a planet whose mass and radius are both twice the mass and radius of Earth. The acceleration due to gravity on the surface of the planet is n times that on Earth. The value of n is: [RRB ALP Tier - I (21/08/2018) Evening]

Correct Answer: (d) 1/2
Solution:

59. A body has a weight W on the surface of Earth. What is its weight on a planet whose mass is 15 times that of Earth and a radius that is 4 times that of the earth? [RRB ALP Tier - I (31/08/2018) Afternoon]

Correct Answer: (a) 15/16 W
Solution: