Railway Science (Physics-Light and Optics) (Part-VI)

Total Questions: 50

21. The diameter of the reflecting surface of a spherical mirror is called a/an: [RRB ALP Tier - I (20/08/2018) Morning]

Correct Answer: (d) aperture
Solution:

Aperture. Principal focus - Meeting point of parallel rays after reflection from a concave mirror. Pole - The central point of the spherical mirror. Principal axis - Straight line that passes through the pole and centre of curvature of a spherical mirror.

22. What is the principal focus of a spherical mirror? [RRB ALP Tier - I (20/08/2018) Evening]

Correct Answer: (b) It is the point on the principal axis through which rays of light parallel to the principal axis pass after reflection or appear to be arising from this point on the principal axis.
Solution:

The principal focus of a concave mirror - A number of rays which drop parallel to the principal axis on a concave mirror converge at a point on the principal axis after getting reflected. The principal focus of a convex mirror - A number of rays which drop parallel to the principal axis after getting reflected, the rays appear to diverge from a point (principal focus).

23. In a concave mirror when the object is placed at infinity which of the following applies to the image? [RRB ALP Tier - I (21/08/2018) Morning]

Correct Answer: (b) Real, inverted, highly diminished image at focus
Solution:

Concave mirror (converging mirrors) - A type of spherical mirror in which the reflecting surface is the inner-curved surface of the sphere. Object Position (Image position, Features of image): When object is placed at beyond C (Between F and C, Real and Inverted), At C (At C, Real and Inverted), Between C and F (Beyond C, Real and Inverted ), At F (At Infinity, Real and Inverted) and Between P and F (Behind the mirror, Virtual and erect). Uses - Shaving mirrors, Headlights and Solar furnaces.

24. An object is placed at a distance of 25 cm from the converging lens. The real and inverted image of the object is formed at a distance of 30 cm from the lens. What is the magnification produced by the lens equal to? [RRC Group D 17/08/2022 (Afternoon)]

Correct Answer: (b) -6/5
Solution:

-6/5 . The object distance (u)ย  in a convex lens is always negative, u = -25 cm. Since, Real and inverted image (v) of the object is formed, v = 30 cm.
Magnification of the lens (m) = v/u
= 30/-25 = -6/5.

25. A convex mirror used as a rear-view mirror of a car has a focal length of 2 m. If a bus is located at a distance of 3 m from the mirror, where will its image be formed? [RRC Group D 17/08/2022 (Evening)]

Correct Answer: (a) 1.2 m behind the mirror
Solution:

1.2 m behind the mirror. Position of Object (u) = - 3 m, Focal Length = 2 m,The image (๐‘ฃ) will be formed 1.2 m behind the mirror (because the principal focus of a convex mirror is behind the mirror). The image is virtual and erect.

26. The path of a ray of light incident on an interface separating two media is shown in the figure below. The refractive index of medium A with respect to medium B is equal to: [RRC Group D 18/08/2022 (Morning)]

Correct Answer: (b)
Solution:

27. The focal length of a diverging lens is 50 cm. The power of the lens is: [RRC Group D 18/08/2022 (Evening)]

Correct Answer: (b) - 2 D
Solution:

- 2 D. The power of a lens is 1/๐‘“๐‘œ๐‘๐‘Ž๐‘™ ๐‘™๐‘’๐‘›๐‘”๐‘กโ„Ž (measured in meters). So,ย  50 cm is 1/2 meter, so the power is -2 Dย  (Concave lens have negative focal length); D stands for diopters, the unit of power for lenses.

28. The speed of light in two transparent media A and B are 2 ร— 10โธ m/sec and 2.25 ร— 10โธ m/sec. The refractive index of medium A with respect to medium B is equal to [RRC Group D 22/08/2022 (Morning)]

Correct Answer: (b) 1.125
Solution:

1.125. Given, Speed of light media in A = 2 ร— 10โธ m/sec, Speed of light in media B = 2.25 ร— 10โธ m/sec.
Refractive Index =

29. The refractive index of a given transparent medium is 1.5. The speed of light in the medium is equal to: [RRC Group D 22/08/2022 (Morning)]

Correct Answer: (b) 2 ร— 10โธ m/sec
Solution:

2 ร— 10โธ m/sec. Refractive Index- The ratio of the speed of light in a vacuum to its speed in a specific medium. Formula- n = c/v. Where, C =ย  speed of light,V = velocity of light in a substance and n= the refractive index.
n = 3 ร— 10โธ/vย  โ‡’ย  v = 3 ร— 10โธ/n
v = 3 ร— 10โธ/1.5ย  โ‡’ย  2 ร— 10โธ m/sec.
Refractive index of light in different media- Air(1.0003), Water(1.333), Diamond(2.417), Ice(1.31),etc.

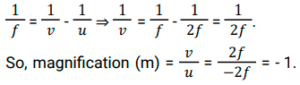
30. The magnification 'm' produced by a convex lens when the object is placed at a distance 2f from the lens is given by: [RRC Group D 22/08/2022 (Morning)]

Correct Answer: (c) m = -1
Solution:

m = -1. Given, object distance = -2f, magnification= m. According to lens formula,Hence magnification m = -1.
Magnification m produced by a convex
mirror - 0 < m < 1.