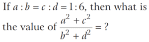
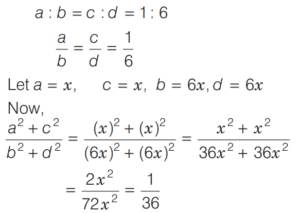
RATIO-PROPORTION AND VARIATION (CDS)Total Questions: 201. The monthly incomes of A and B are in the ratio 4 : 3. Each save ₹600. If their expenditures are in the ratio 3 : 2, then what is the monthly income of A? [2019 (II) Evening Shift ](a) ₹1800(b) ₹2000(c) ₹2400(d) ₹3600Correct Answer: (c) ₹2400Solution:2. The train fare and bus fare between two stations is in the ratio 3 : 4. If the train fare increases by 20% and bus fare increases by 30%, then what is the ratio between revised train fare and revised bus fare? [2019 (II) Evening Shift ](a) 9/13(b) 17/12(c) 32/43(d) 19/21Correct Answer: (a) 9/13Solution:3. Solve the following equation [2019 (I) Morning Shift ](a) 1/600(b) 1/60(c) 1/36(d) 1/6Correct Answer: (c) 1/36Solution:4. A man who recently died left a sum of ₹390000 to be divided among his wife, five sons and four daughters. He directed that each son should receive 3 times as much as each daughter receives and that each daughter should receive twice as much as their mother receives. What was the wife’s share? [2019 (I) Morning Shift ](a) ₹14000(b) ₹12000(c) ₹10000(d) ₹9000Correct Answer: (c) ₹10000Solution:Let wife’s of man receives = ₹x5. Ten (10) years before, the ages of a mother and her daughter were in the ratio 3 : 1. In another 10 yr from now, the ratio of their ages will be 13 : 7. What are their present ages? [2018 (II) Evening Shift](b) 55 year, 25 year(a) 39 year, 21 year(c) 75 year, 25 year(d) 49 year, 31 yearCorrect Answer: (a) 39 year, 21 yearSolution:6. The ratio of the sum and difference of the ages of the father and the son is 11 : 3. Consider the following statements [2018 (II) Evening Shift]1. The ratio of their ages is 8 : 5. 2. The ratio of their ages after the son attains twice the present age will be 11 : 8.Which of the statements given above is/are correct?(a) 1 only(b) 2 only(c) Both 1 and 2(d) Neither 1 nor 2Correct Answer: (b) 2 onlySolution: 7. If A : B = 1 : 2, B : C = 3 : 4, C : D = 2 : 3 and D : E = 3 : 4, then what is B: E equal to? [2018 (I) Morning Shift ](a) 3 : 2(b) 1 : 8(c) 3 : 8(d) 4 : 1Correct Answer: (c) 3 : 8Solution:8. In the following table of inverse variation, what are the values of A B, and C respectively? [2018 (I) Morning Shift ](a) 10, −30, −1(b) 10, −1, 30(c) −30, 10, −1(d) −1, −30, 10Correct Answer: (a) 10, −30, −1Solution:9. An alloy A contains two elements, copper and tin in the ratio of 2 : 3, whereas an alloy B contains the same elements in the ratio of 3 : 4. If 20 kg of alloy A, 28 kg of alloy B and some more pure copper are mixed to form a third alloy C which now contains copper and tin in the ratio of 6 : 7, then what is the quantity of pure copper mixed in the alloy C? [2018 (I) Morning Shift ](a) 3 kg(b) 4 kg(c) 5 kg(d) 7 kgCorrect Answer: (b) 4 kgSolution: 10. A, B, C, D and E start a partnership firm. Capital contributed by A is three times that contributed by D. E contributes half of A’s contribution , B contributes one third of E’s contribution and C contributes two-third of A’s contribution. If the difference between the combined shares of A, D and E and the combined shares of B and C in the total profit of the firm is ₹13500, what is the combined share of B, C and E? (the shares are supposed to be proportional to the contributions) [2018 (I) Morning Shift ](a) ₹13500(b) ₹18000(c) ₹19750(d) ₹20250Correct Answer: (b) ₹18000Solution:Submit Quiz12Next »