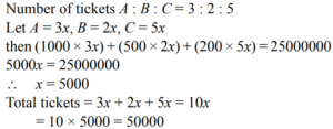
RATIO, PROPORTION & PARTNERSHIP (QUANTITATIVE APTITUDE) EPFO UPSCTotal Questions: 3021. A, B and C started a business with investments of ₹ 1200, ₹ 400 and ₹ 300 respectively. At the end of 6 months from the start of the business, A invested an additional amount of ₹ ‘x’. If the total annual profit was 5 3/4 times B’s share in annual profit. What is the value of x?(a) 1200(b) 1000(c) 900(d) 800Correct Answer: (d) 800Solution:22. A, B and C started a business with their investment in the ratio 1 : 3 : 5. After 4 months, A invested the same amount as before and B as well as C withdrew half of their investments. The ratio of their investments. The ratio of their profits at the end of the year was:(a) 5 : 6 : 10(b) 6 : 5 : 10(c) 10 : 5 : 6(d) 4 : 3 : 5Correct Answer: (a) 5 : 6 : 10Solution:23. Incomes of A and B are in the ratio 4 : 3 and their annual expenses in the ratio 3 : 2. If each save ₹60,000 at the end of the year, the annual income of A is(a) ₹1,20,000(b) ₹1,50,000(c) ₹2,40,000(d) ₹3,60,000Correct Answer: (c) ₹2,40,000Solution:24. Two alloys are both made up of copper and tin. The ratio of copper and tin in the first alloy is 1 : 3 and in the second alloy is 2 : 5. In what ratio should the two alloys be mixed to obtain a new alloy in which the ratio of tin and copper be 8 : 3?(a) 3 : 5(b) 4 : 7(c) 3 : 8(d) 5 : 1Correct Answer: (b) 4 : 7Solution:25. In two alloys A and B, the ratio of zinc to tin is 5 : 2 and 3 : 4 respectively. 7 kg of the alloy A and 21 kg of the alloy B are mixed together to form a new alloy. What will be the ratio of zinc and tin in the new alloy?(a) 2 : 1(b) 1 : 2(c) 2 : 3(d) 1 : 1Correct Answer: (d) 1 : 1Solution:26. Two alloys contain tin and iron in the ratio of 1 : 2 and 2 : 3. If the two alloys are mixed in the proportion of 3 : 4 respectively (by weight), the ratio of tin and iron in the newly formed alloy is :(a) 14 : 25(b) 10 : 21(c) 12 : 23(d) 13 : 22Correct Answer: (d) 13 : 22Solution:27. A and B have their monthly incomes in the ratio 8 : 5 while their monthly expenditures are in the ratio 5 : 3. If they have saved ₹12,000 and ₹10,000 monthly respectively, then the difference in their monthly income is(a) ₹42,000(b) ₹52,000(c) ₹46,000(d) ₹44,000Correct Answer: (a) ₹42,000Solution: 28. In a school there were 1554 students and the ratio of the number of the boys and girls was 4 : 3. After few days, 30 girls joined the school but few boys left, as a result the ratio of the boys and girls became 7 : 6. The number of boys who left the school is(a) 76(b) 84(c) 86(d) 74Correct Answer: (a) 76Solution:29. In a cricket match, there are three types of tickets say A, B and C each costing ₹ 1000, ₹ 500 and ₹ 200 respectively. The ratio of their tickets sold of category A, B and C is 3 : 2 : 5. If the total collection from selling the tickets is ₹ 2.5 crore. Find the total number of tickets sold?(a) 5000(b) 4800(c) 50000(d) 52000Correct Answer: (c) 50000Solution:30. A starts a business with ₹ 45,000. After 6 months B enters in his business with ₹ 80,000. After one year C invests ₹ 1,20,000. In what ratio the profit will be divided among A, B and C after two years?(a) 9 : 16 : 24(b) 3 : 4 : 4(c) 3 : 4 : 8(d) 3 : 3 : 8Correct Answer: (b) 3 : 4 : 4Solution:Submit Quiz« Previous123