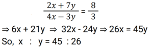
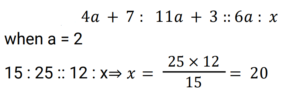
Ratio & Proportion (Railway Maths) (Part – II)Total Questions: 5021. Find the fourth proportional of 12, 24 and 45. [Group D 24/08/2022 (Afternoon)](a) 90(b) 25(c) 30(d) 60Correct Answer: (a) 90Solution:22. If a / b = 4 / 3 and 3a + 2b = 24, then find the value of a. [Group D 24/08/2022 (Afternoon)](a) 4(b) 13/3(c) 5(d) 16/3Correct Answer: (d) 16/3Solution:23. If x : y = 7 : 3, then (x² + y²) : (x² - y²) = ? [Group D 25/08/2022 (Morning) ](a) 29 : 20(b) 25 : 4(c) 5 : 2(d) 5 : 1Correct Answer: (a) 29 : 20Solution:24. Find the fourth proportional of 4a + 7, 11a + 3 and 6a, if a = 2. [Group D 25/08/2022 (Afternoon)](a) 20(b) 15(c) 30(d) 25Correct Answer: (a) 20Solution:25. An amount is divided between two friends in the ratio 2 : 5. If the second part is ₹6 more than the first, then the initial amount is : [Group D 25/08/2022 (Afternoon)](a) ₹13(b) ₹12(c) ₹23(d) ₹14Correct Answer: (d) ₹14Solution:26. Find the mean proportional between 17 and 68. [Group D 25/08/2022 (Evening)](a) 46(b) 42(c) 34(d) 38Correct Answer: (c) 34Solution:27. A sum of money is distributed among four persons A, B, C and D in the ratio 4 : 7 : 9 : 3. If C gets ₹800 more than B, then find the amount that D gets. [Group D 26/08/2022 (Morning)](a) ₹1,000(b) ₹1,500(c) ₹1,400(d) ₹1,200Correct Answer: (d) ₹1,200Solution:28. If (2x + 7y) : (4x - 3y) :: 8 : 3, then find the value of x : y. [Group D 26/08/2022 (Afternoon)](a) 45 : 26(b) 20 : 19(c) 11 : 13(d) 26 : 45Correct Answer: (a) 45 : 26Solution:29. In a class there are 40 students (only boys and girls). The number of girls is three-sevenths of the number of boys. Find the number of boys in the class. [Group D 29/08/2022 (Afternoon)](a) 28(b) 12(c) 24(d) 32Correct Answer: (a) 28Solution:30. The ratio of the number of boys to that of the girls in a school is 7 : 9. If the number of girls in the school is 189, then the number of boys in that school is : [Group D 29/08/2022 (Evening)](a) 168(b) 126(c) 147(d) 105Correct Answer: (c) 147Solution:Submit Quiz« Previous12345Next »