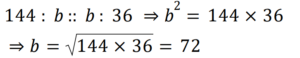
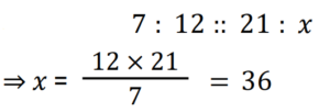
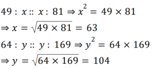
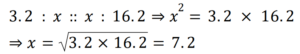
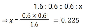
Ratio & Proportion (Railway Maths) (Part – II)Total Questions: 5031. If 49 : x :: x : 81, and 64 : y :: y : 169, where x and y are both natural numbers, then find the value of 2x + 3y. [Group D 30/08/2022 (Afternoon)](a) 348(b) 438(c) 126(d) 312Correct Answer: (b) 438Solution:32. A number is divided into two parts such that one part of the number is 10 more than the other part, and the ratio of the two parts is 4 : 3. Find the initial number. [Group D 30/08/2022 (Afternoon)](a) 40(b) 70(c) 80(d) 30Correct Answer: (b) 70Solution:33. If 144 : b :: b : 36, and b > 0, find the value of b. [Group D 30/08/2022 (Afternoon)](a) 36(b) 27(c) 12(d) 72Correct Answer: (d) 72Solution:34. If 7, 12, 21 and x are in proportion, the value of x is : [Group D 30/08/2022 (Evening)](a) 36(b) 24(c) 35(d) 27Correct Answer: (a) 36Solution:35. Two numbers are in the ratio 2 : 7. If the first number is increased by 14 and the second number is decreased by 6, then the ratio becomes 4 : 3. What is the sum of the original two numbers? [Group D 02/09/2022 (Morning)](a) 45(b) 27(c) 36(d) 18Correct Answer: (b) 27Solution:36. If 1.6 : 0.6 :: 0.6 : x, find the value of x. [Group D 02/09/2022 (Afternoon)](a) 0.225(b) 0.275(c) 0.98(d) 0.25Correct Answer: (a) 0.225Solution:37. If a : b = 7 : 9 and b : c = 15 : 7, then a : b : c is : [Group D 02/09/2022 (Afternoon)](a) 35 : 45 : 25(b) 35 : 45 : 21(c) 21 : 35 : 45(d) 45 : 35 : 21Correct Answer: (b) 35 : 45 : 21Solution:38. If 3.2 : x :: x : 16.2, and x > 0, then find the value of x. [Group D 02/09/2022 (Evening)](a) 6.3(b) 9.7(c) 7.2(d) 5.4Correct Answer: (c) 7.2Solution:39. The salaries of A and B are in the ratio 3 : 4. On increasing the salaries of both A and B by ₹3,000, the new ratio of their salaries becomes 18 : 23. Find the salary of A after the increase. [Group D 06/09/2022 (Afternoon)](a) ₹12,000(b) ₹23,000(c) ₹21,000(d) ₹18,000Correct Answer: (d) ₹18,000Solution:40. If ₹2,400 is to be distributed between A and B in the ratio 7 : 5, then the share of B is : [Group D 08/09/2022 (Morning)](a) ₹1,300(b) ₹1,600(c) ₹1,900(d) ₹1,000Correct Answer: (d) ₹1,000Solution:Submit Quiz« Previous12345Next »