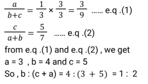
Ratio & Proportion (Railway Maths) (Part – VI)Total Questions: 5041. If 3/5 of a bottle is filled , what is the ratio of the filled part to the empty part of the bottle? [RRB NTPC 23/07/2021 (Morning) ](a) 3 : 2(b) 5 : 3(c) 2 : 3(d) 3 : 5Correct Answer: (a) 3 : 2Solution:42. 6/11 of the people present in a hall are sitting in 9/14 of the chair available and the rest are standing. If there are 30 empty chairs, how many people in the hall are standing? [RRB NTPC 23/07/2021 (Morning) ](a) 40(b) 30(c) 45(d) 35Correct Answer: (c) 45Solution:43. Radha and Vetsal invested Rs 36,000 and Rs 42,000 respectively, in a business. Radha, being an active partner, got Rs 637.50 extra every month for running the business. In 3 years, If Radha received a total of Rs 31,500. Then what was the profit earned by Vatsal during this period ? [RRB NTPC 23/07/2021 (Morning) ](a) Rs. 9,975(b) Rs. 36,750(c) Rs. 8,550(d) Rs. 10,795Correct Answer: (a) Rs. 9,975Solution:44. Rs.21,150 is distributed among A,B, and C. The share of A is 4/5 of theshare of B, and the share of B is 3/4 of the share of C. After receiving their respective sums, C gives some money out of her share to A so that after the transfer, the ratio of the sums A and C have is 7 : 9. What part of her initial share did C transfer to A? [RRB NTPC 26/07/2021 (Morning) ](a) 1/8(b) 1/10(c) 1/5(d) 1/12Correct Answer: (b) 1/10Solution:45. If a, b, c and d are in continued proportion, then (ma³ + nb³ − rc³) : (mb³ + nc³ − rd³) = ? [RRB NTPC 26/07/2021 (Morning)](a) d : a(b) a : d(c) b : c(d) c : bCorrect Answer: (b) a : dSolution:46. 15% of x = 25% of y = 50% of z. Find x : y : z. [RRB NTPC 26/07/2021 (Evening)](a) 3 : 5 : 10(b) 10 : 6 : 3(c) 3 : 2 : 1(d) 10 : 5 : 3Correct Answer: (b) 10 : 6 : 3Solution:47. In a bag, there are coins of 25 paise, 10 paise and 5 paise in the ratio of 1 : 2 : 3. If there are Rs. 30 in all, how many 5 paise coins are there? [RRB JE 22/05/2019 (Afternoon)](a) 50(b) 150(c) 100(d) 200Correct Answer: (b) 150Solution:Let the number of coins of 25 paise, 10 paise and 5 paise be x, 2x and 3x 25x + 20x + 15x = 3000 ⇒ 60x = 3000 ⇒ x = 50 Hence, the number of 5-paise coin → 3x = 15048. From a cloth of 30 m long, 12 bits each measuring 225 cm are cut and sold. What fraction of the original length remains? [RRB JE 23/05/2019 (Evening)](a) 1 / 3(b) 1 / 9(c) 3 / 10(d) 1 / 10Correct Answer: (d) 1 / 10Solution:Length of the cloth = 30 m or 3000 cm Length of the sold cloth = 225 × 12 = 2700 cm Remaining cloth = 3000 - 2700 = 300 cm Fractional value of remaining cloth → 300/3000 = 1/1049. If a : (b + c) = 1 : 3 and c : (a + b) = 5 : 7, find the value of b : (c + a). [RRB JE 23/05/2019 (Evening)](a) 4 : 5(b) 3 : 5(c) 1 : 2(d) 3 : 4Correct Answer: (c) 1 : 2Solution:50. By how much is four-sevenths of 420 exceeding three - fifths of 200 ? [RRB JE 24/05/2019 (Evening) ](a) 80(b) 120(c) 90(d) 60Correct Answer: (b) 120Solution:Submit Quiz« Previous12345