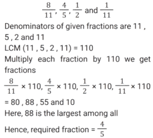
Ratio & Proportion (SSC) (Part-2)Total Questions: 5031. Radhika requested the cashier of a bank to get her coins in lieu of her cheque worth ₹1,845. Cashier gave her a packet containing ₹5, ₹10 and ₹20 coins in the ratio of 3 : 5 : 7. What is the total worth of the smallest coin received by her ? [SSC CHSL 01/07/2024 (1st Shift)](a) ₹135(b) ₹125(c) ₹145(d) ₹105Correct Answer: (a) ₹135Solution:32. The age of the older of two boys is thrice that of the younger. 9 years ago it was five times that of the younger. Find the present age of each. [SSC CHSL 01/07/2024 (2nd Shift)](a) 15 years, 45 years(b) 18 years, 54 years(c) 17 years, 51 years(d) 12 years, 36 yearsCorrect Answer: (b) 18 years, 54 yearsSolution:33. P pays Q a sum of ₹150 using coins of ₹2, ₹5 and ₹10. He uses a total of 50 coins. If the ratio of ₹2 and ₹5 coins used is 5 : 2, then how many coins of ₹10 are used in the payment? [SSC CHSL 01/07/2024 (3rd Shift)](a) 2(b) 1(c) 4(d) 5Correct Answer: (b) 1Solution:34. In what ratio must a grocer mix two varieties of pulses costing ₹60 and ₹75 per kg, respectively, so as to get a mixture worth ₹65 per kg ? [SSC CHSL 01/07/2024 (3rd Shift)](a) 3 : 4(b) 2 : 1(c) 2 : 3(d) 1 : 2Correct Answer: (b) 2 : 1Solution:35. M varies inversely as (N² + 3). If M = 3 when N = 3, then what will be the value of M when N² = 69 ? [SSC CHSL 01/07/2024 (4th Shift)](a)(b)(c)(d)Correct Answer: (d)Solution:36. The difference between two numbers is 48. The ratio of these two numbers is 7 : 3. What is the sum of the two numbers ? [SSC CHSL 01/07/2024 (4th Shift)](a) 110(b) 100(c) 90(d) 120Correct Answer: (d) 120Solution:37. Divide some money in the ratio Ravi, Reeta and Rahul that 5 (Part of Ravi) = 3 (Part of Reeta) = 11 (Part of Rahul). The money ratio of Ravi : Reeta : Rahul is equal to : [SSC CHSL 02/07/2024 (4th Shift)](a) 11 : 5 : 3(b) 11 : 33 : 15(c) 5 : 11 : 3(d) 33 : 55 : 15Correct Answer: (d) 33 : 55 : 15Solution:38. Among the ratios 3 : 4, 5 : 8, 1 : 2, 6 : 9 which is the greatest? [SSC CHSL 03/07/2024 (1st Shift)](a) 5 : 8(b) 6 : 9(c) 1 : 2(d) 3 : 4Correct Answer: (d) 3 : 4Solution:39. If a : b = 3 : 7 and b : c = 4 : 9, then find a : b : c. [SSC CHSL 03/07/2024 (2nd Shift)](a) 12 : 28 : 63(b) 3 : 28 : 63(c) 12 : 28 : 9(d) 3 : 28 : 9Correct Answer: (a) 12 : 28 : 63Solution:40. Which is the greatest ratio among the following? [SSC CHSL 03/07/2024 (3rd Shift)](a) 4/5(b) 8/11(c) 1/2(d) 1/11Correct Answer: (a) 4/5Solution:Submit Quiz« Previous12345Next »