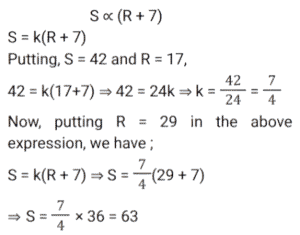
Ratio & Proportion (SSC) (Part-3)Total Questions: 5021. If class A has 11 boys and 18 girls, class B has 13 boys and 17 girls, and class C has 20 boys and 9 girls, which class has the biggest ratio(s) of boys to girls? [Matriculation Level 20/06/2024 (Shift - 4)](a) Class A(b) Both class A and class B(c) Class C(d) Class BCorrect Answer: (c) Class CSolution: 22. A recipe is made using cheese and butter in the ratio 4: 3. If Arohi uses 8 bowls of cheese, how many bowls of butter should she use? [Matriculation Level 21/06/2024 (Shift - 1)](a) 4(b) 6(c) 8(d) 3Correct Answer: (b) 6Solution:23. The ratio of the salaries of S to F is 2 : 3 and the ratio of their savings is 3 : 4. What is the ratio of their expenditures if their total savings are equal to the salary of S? [Matriculation Level 21/06/2024 (Shift - 1)](a) 8 : 15(b) 7 : 1(c) 8 : 13(d) 7 : 12Correct Answer: (c) 8 : 13Solution: 24. S varies directly as (R + 7), and S = 42 when R = 17. What is the value of S when R = 29 ? [Matriculation Level 24/06/2024 (Shift - 1)](a) 51(b) 63(c) 58(d) 66Correct Answer: (b) 63Solution:25. The price of a television set and a washing machine are in the ratio of 8 : 7. If the cost of the television set is ₹4,800 more than the cost of the washing machine, then find the price of the washing machine. [Matriculation Level 25/06/2024 (Shift - 1)](a) ₹33,000(b) ₹33,500(c) ₹33,600(d) ₹33,700Correct Answer: (c) ₹33,600Solution:26. Pooja, Chameli and Anju have a total of ₹450 in their purses. Pooja has ₹50 more than Chameli. Anju has two times what Pooja has. How much do Pooja, Chameli and Anju, respectively, have in their purses ? [Higher Secondary 20/06/2024 (Shift - 2)](a) ₹150, ₹75 and ₹225(b) ₹100, ₹50 and ₹300(c) ₹125, ₹75 and ₹250(d) ₹125, ₹50 and ₹275Correct Answer: (c) ₹125, ₹75 and ₹250Solution:27. Two numbers are in the ratio 4 : 5. If 3 is added to the smaller and 7 is subtracted from the larger number, they are in the ratio 1 : 1. Find the numbers. [Higher Secondary 20/06/2024 (Shift - 2)](a) 60, 75(b) 40, 50(c) 55, 44(d) 20, 25Correct Answer: (b) 40, 50Solution: 28. What is the mean proportional of 45𝓍⁴ and 5y² ? [Higher Secondary 21/06/2024 (Shift - 2)](a) 5𝓍²y(b) 25𝓍⁴y(c) 15𝓍²y(d) 45𝓍²y²Correct Answer: (c) 15𝓍²ySolution:29. The ages of A and B are in the ratio 4 : 7, respectively. After 8 years, the ratio of their ages will be 2 : 3. What is the sum of the ages of A and B (in years)? [Higher Secondary 21/06/2024 (Shift - 2)](a) 44(b) 36(c) 38(d) 42Correct Answer: (a) 44Solution:30. Which number should be added to 3, 11, 4 and 14 to make them in proportion? [Higher Secondary 25/06/2024 (Shift - 2)](a) 3(b) 2(c) 4(d) 1Correct Answer: (d) 1Solution:Submit Quiz« Previous12345Next »