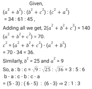
Ratio & Proportion (SSC) (Part-5)Total Questions: 5041. Two numbers, A and B, are such that the sum of 10% of A and 8% of B is (3/5)th of the sum of 12% of A and 16% of B. The ratio of A : B is : [SSC CHSL 31/05/2022 (Afternoon)](a) 2 ∶ 3(b) 4 ∶ 7(c) 2 ∶ 7(d) 4 ∶ 3Correct Answer: (b) 4 ∶ 7Solution:42. Two numbers X and Y are such that the sum of 18% of X and 8% of Y is one-third of the sum of 22% of X and 36% of Y. Find the ratio of X and Y [SSC CHSL 02/06/2022 (Afternoon)](a) 2 : 5(b) 3 : 11(c) 3 : 8(d) 8 : 3Correct Answer: (c) 3 : 8Solution:43. If 60% of a number is equal to three-fourth of another number, what is the ratio of the first number to the second number? [SSC CHSL 07/06/2022 (Evening)](a) 3 : 7(b) 2 : 5(c) 7 : 3(d) 5 : 4Correct Answer: (d) 5 : 4Solution:44. P, Q and R are batsmen. The ratio of the runs scored by them in a certain match was P ∶ Q = 16 : 17 and Q : R = 15 ∶ 16. At the end of the match, they scored a total of 956 runs. The number of runs scored by R is (nearest to an integer): [SSC CHSL 09/06/2022 (Afternoon)](a) 440(b) 335(c) 339(d) 430Correct Answer: (c) 339Solution:45. A varies jointly with B and C. A = 6 when B = 3 and C = 2. Find A when B = 5 and C = 7. [SSC CHSL 10/06/2022 (Evening)](a) 17.5(b) 35(c) 105(d) 70Correct Answer: (b) 35Solution:46. The ratio of the monthly incomes of A and B is 11 : 13 and the ratio of their expenditure is 9 : 11. If both of them manage to save ₹ 4,000 per month, then find the difference in their incomes (in ₹). [SSC CGL 11/04/2022 (Morning)](a) 2,500(b) 3,200(c) 4,000(d) 3,00Correct Answer: (c) 4,000Solution:47. At present, A is younger than B by 8 years. If 4 years ago, their ages were in the ratio of 1 : 2, then what is the present age of B (in years)? [SSC CGL 12/04/2022 (Morning)](a) 11(b) 20(c) 12(d) 18Correct Answer: (b) 20Solution: 48. If a, b and c are positive numbers such that (a² + b²) : (b² + c²) : (c² + a²) = 34 : 61 : 45, then b - a : c - b : c - a = _________ . [SSC CGL Tier II (29/01/2022)](a) 1 : 2 : 3(b) 3 : 1 : 2(c) 2 : 1 : 3(d) 3 : 2 : 1Correct Answer: (c) 2 : 1 : 3Solution:49. The income of A is 2/3 of B's income and the expenditure of A is 3/4 of B's expenditure. If 1/3 of the income of B is equal to the expenditure of A, then the ratio of the savings of A to those of B is: [SSC CGL Tier II (29/01/2022)](a) 3 : 4(b) 3 : 5(c) 5 : 3(d) 4 : 3Correct Answer: (b) 3 : 5Solution: 50. Alloy A contains metals x and y only in the ratio 5 : 2, while alloy B contains them in the ratio 3 : 4. Alloy C is prepared by mixing alloys A and B in the ratio 4 : 5. The percentage of x in alloy C is: [SSC CGL Tier II (29/01/2022)](a)(b)(c)(d)Correct Answer: (d)Solution:Submit Quiz« Previous12345