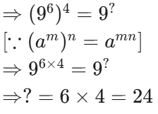
RBI GRADE ‘B’ OFFICER’S EXAM Held on : 06.02.2011 (Part-II)Total Questions: 5041. What should come in place of the question mark (?) in the following questions?∣ ?−45 ∣=40(1) 85 or - 85(2) 85 or 5(3) 5 or - 5(4) 40 or 5(5) None of theseCorrect Answer: (2) 85 or 5Solution:∣ ?− 45 ∣ = 40 ⇒ ? − 45 = ± 40∴?=45 + 40 or 45−40= 85 or 542. What should come in place of the question mark (?) in the following questions?(1) 28(2) 16(3) 12(4) 24(5) None of theseCorrect Answer: (4) 24Solution:43. What should come in place of the question mark (?) in the following questions?(1)(2)(3)(4)(5)Correct Answer: (4)Solution:44. What should come in place of the question mark (?) in the following questions??% of (4)? = 51.2(1) 15(2) 8(3) 5(4) 10(5) None of theseCorrect Answer: (3) 5Solution:45. What should come in place of the question mark (?) in the following questions?(1) 8(2) 36(3) 12(4) 6(5) None of theseCorrect Answer: (4) 6Solution:46. In the following number series only one number is wrong. Find out the wrong number.4 3 4.5 8.5 20 53 162.5(1) 3(2) 4.5(3) 8.5(4) 20(5) 53Correct Answer: (3) 8.5Solution:The pattern of the number series is:47. In the following number series only one number is wrong. Find out the wrong number.12000 2395 472 89.812.96 -2.408 -5.4816(1) -5.4816(2) 472(3) 12.96(4) -2.408(5) 2395Correct Answer: (2) 472Solution:The pattern of the number series is:48. In the following number series only one number is wrong. Find out the wrong number.1 8 28 99 412 2075 12460(1) 28(2) 99(3) 412(4) 2075(5) 12460Correct Answer: (5) 12460Solution:The pattern of the number series is:49. In the following number series only one number is wrong. Find out the wrong number.144 215 540 1890 850546777.5 304053.75(1) 215(2) 540(3) 1890(4) 8505(5) 46777.5Correct Answer: (1) 215Solution:The pattern of the number series is :50. In the following number series only one number is wrong. Find out the wrong number.2222 1879 1663 15381474 1447 1440(1) 1879(2) 1538(3) 1474(4) 1447(5) 1440Correct Answer: (5) 1440Solution:The pattern of the number series is:Submit Quiz« Previous12345